定义域(domain of definition)指自变量x的取值范围。
定义域是函数三要素(定义域、值域、对应法则)之一,对应法则的作用对象。求函数定义域的题型主要包括抽象函数,一般函数,函数应用题三种。
基础定义
定义一:设x、y是两个变量,变量x的变化范围为D,如果对于每一个数x∈D,变量y遵照一定的法则总有确定的数值与之对应,则称y是x的函数,记作y=f(x),x∈D,x称为自变量,y称为因变量,数集D称为这个函数的定义域。2
定义二:A,B是两个非空数集,从集合A到集合B 的一个映射,叫做从集合A到集合B 的一个函数。记作
或
其中A就叫做定义域。通常,用字母D表示。通常定义域是F(X)中x的取值范围。
1,给定定义域:例如:函数
的定义域为给定的集合{1,2}。
2,一般函数的定义域:使函数有意义的一切实数。例如:函数y=1/x的定义域为
。R为任意实数。也可以写做
3,实际问题:根据具体情况求定义域。
4,当然,也会运用到动力物理学中求变量
应用举例
抽象函数定义域的常见题型有三种:
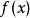
类型一
已知
的定义域,求
的定义域.
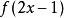
例1.已知
的定义域为(-1,1),求
的定义域.
略解:由
有
∴
的定义域为(0,1)
类型二
已知
的定义域,求
的定义域.
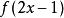
例2.已知
的定义域为(0,1),求
的定义域.
解:已知0<x<1
∴-1<2x-1<1