• 1.摘要
  • 2.基本信息
  • 3.简介
  • 4.中心频率的应用选择
  • 5.射频频率调制和中心频率校正
  • 6.中心频率故障处理
  • 7.参考资料

中心频率

中心频率:通常定义为带通滤波器(或带阻滤波器)的两个3dB点之间的中点,一般用两个3dB点的算术平均来表示 。滤波器通频带中间的频率,以中心频率为准,高于中心频率一直到频率电压衰减到0.707倍时为上边频,相反为下边频,上边频和下边频之间为通频带。

基本信息

  • 中文名

    中心频率

  • 外文名

    central frequency

  • 频率范围

    20Hz到20000Hz

  • 中心频率

    频率的几何平均值

  • 噪音测量

    常用的是倍频程中心频率

  • 应用范围

    路面结构测定通信临床等

简介

MR所用的射频脉冲的频率并不均匀,包括由低到高的一段频率,常以其中心频率表示。在B0为1.0T时,Larmorr频率为42.5MHz,如某一射频脉冲的带宽为20kHz(即0.02MHz),则该射频脉冲实际上包含42.49-42.51MHz这一范围的频率,其中心频率为42.5MHz,带宽越宽,断层厚度越厚。带宽不变时,层面选择方向上的梯度磁场强度越高,层厚越薄,故通过调整射频脉冲的带宽或改变梯度磁场的强度,可得到不同层面,临床上主要通过改变梯度磁场的强度来达到改变层厚的目的。1

中心频率的应用选择

1/3

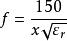
天线中心频率选择需要兼顾探测深度、分辨率和天线尺寸是否符合场地需要。一般来说,中心频率越高,介质内的电磁波波长越短,探测分辨率则越高,但其探测深度则越浅,反之则相反。因此,在满足分辨率且场地条件又许可时,应该尽量降低天线中心频率,以便最大限度的加大检测深度。如果要求的空间分辨率为x(m),周围环境相对介电常数为εr,可由下式作为初选雷达天线的中心频率f的依据,即:

image(HMZ)

通常情况下,基层厚度为10~60 cm,面层厚度<20cm,在检测中还需根据检测目标界面的埋深,选择合理的天线中心频率,方可取得最佳效果。影响探测深度主要因素除了工作中心频率外,还有介质吸收系数或电导率,背景噪音功率,发射功率和方向性,目标体的形状与电性特征等,可见影响探测深度因素是一个复杂性问题。因此,针对不同路面结构层的不同材料进行试验选定。

为研究探地雷达检测路面基层的最佳测试中心频率技术指标,我们在济源至东明高速公路焦作至修武段,对已在下基层的顶部,底基层的顶部,垫层顶部,垫层中部和垫层底部分别埋设金属板的几个路段,参照式的估算,分别采用了:400 MHZ,900 MHZ,1.0 GHZ,2.0 GHZ天线,置布一条通过5块埋板地面投影位的纵剖面进行现场测试,并在每一块埋板处布置了横跨路面的横剖面,其中,K11+400剖面测试结果如图2-4-1、2-4-2、2-4-3、2-4-4所示。此外,还在I标段K4+900和K9+800处,进行了相同的现场测试。

由实测资料我们可得出以下结论:

(1)随着中心频率的增高,其探测深度明显减小。

(2)利用400 MHz和900 MHz中心工作频率能准确查明埋深在60.0cm内的路面基层和底基层结构层厚度和缺陷;在理想条件(湿度较小)下,可分别对150 cm和100 cm深度范围内的基层、底基层和垫层的厚度与缺陷进行探测。

(3)1000 MHz和2000 MHz中心频率仅能准确检测埋深在40.0cm内的基层厚度和缺陷,在理想条件(湿度较小)下,能分别对其下方80cm和60cm范围内的结构层进行检测。2

射频频率调制和中心频率校正

考虑到FM—UWB对相位噪声的要求很低(-80dBc/Hz@1MHZ频偏),为了实现超宽带频谱,射频FM常用高增益的射频VCO来实现;既可用LC-VCO,在先进工艺如65nm情况下,也可以用Ring VCO。中心频率校正有两种方法:数字频率偏差预补偿、锁频环(FLL)。

图5-6给出了基于数字频率偏差预补偿的中心频率校正电路。射频VCO首先工作在闭环情况下,当其中心频率为fc时,PLL负反馈使VCO的输入控制电压保持在VCM+△m,频率偏移量△fc对应的模拟电压△m经ADC被保存在存储器(如ROM)中;然后VCO工作在开环状态,保存在ROM巾的频偏电压△。经DAC后直接和共模电平为KM的子载波相加,两者之和被送往VCO进行射频频率调制。如此,射频中心频率就维持在fc上。

这种预补偿方法的不足之处是明显的:①需要太多的模块,如ADC、DAC、ROM和PLL,不利于CMOS集成,且设计复杂、功耗大;②需要在两种工作模式间进行切换,不可避免地引进了开关噪声;③在VCO进行频率调制时,无法实时校正其中心频率。

当射频VCO进行频率调制时,尽管其瞬时频率变化很快,但其平均值或者中心频率却变化缓慢,可以用一个频率负反馈环路如FLL去实时校正它。图5-7给出了基于FLL的中心频率实时校正电路。它运用双通路射频VCO和环路带宽很窄的FLL,在实现快速调频的同时,进行慢速的巾心频率校正。

鉴频器采用时钟计数的方法检测中心频率偏差,控制后续的自加减计数器和△-ΣDAC,得到校正电压VCZL,后者调节VCO的校正通路,反向纠正中心频率偏差。FLL环路带宽由△-ΣDAC的RC滤波器的截止频率决定,尽可能小,但要能跟上中心频率随电源电压和温度的漂移速率。为了消除LC VCO可变电容管对△-ΣDAC馈入的kickback噪声,在电路中引入隔离驱动(Buffer)。为了抑制电源、地的共模噪声,使用了差分结构的DAC。为了降低校正环路的功耗.让大电流模块如高频电流模(CML)分频器,受duty-cycle时钟控制,工作在亚连续状态。当高频分频器不工作时,计数器的输出要保持不变,这时VCO的中心频率就锁存了,直到下一个duty-cycle周期到来继续校正,这样,就能在确保巾心频率实时校正的前提下,降低FLL环路的总功耗,

1/3