• 1.摘要
  • 2.基本信息
  • 3.计算公式
  • 4.实例说明

银行存款乘数

存款乘数是指存款总额(即原始存款与派生存款之和)与原始存款的倍数。派生存款是指由于银行之间的存贷款活动引起的存款增加额。

在银行的经济活动中,存在着银行存款的多倍扩大功能,或者说银行具有创造存款的能力。这是因为当一笔存款存入银行后,会经过银行体系一连串的存款——贷款——再存款——再贷款……使得这笔存款导致的存款总额增加量(即派生存款)是当初这笔存款的若干倍。

基本信息

  • 中文名

    银行存款乘数

  • 外文名

    Deposit expansion multiplier

  • 概述

    原始存款与派生存款

  • 派生存款

    存款增加额

计算公式

存款乘数 = [[存款货币]]的总变动 / 准备金的变动

在银行不保有超额准备以及社会大众不会持有通货的条件下,存款乘数刚好是法定存款准备金率的倒数:

存款乘数 = 1 / 法定存款准备金率

由于通货以及商业银行在中央银行的存款皆可作为商业银行的准备金,因此通货与商业银行在央行的存款统称为货币基数(monetary base) 或强力货币 (high-powered money)。在现实社会中,因为商业银行持有的超额准备,与社会大众持有若干通货作为交易的媒介,所以会造成存款乘数小于法定存款准备金率的倒数

实例说明

甲企业到A银行存款100万元,A银行存款增加100万元。A银行将存款的20%(法定存款准备金率)作为准备金,其余全部贷给乙企业,即贷给乙企业80万元。乙企业向丙企业支付货款80万元,丙企业将这笔货款全部存入B银行,B银行存款增加80万元。B银行将存款的20%(法定存款准备金率)作为准备金,其余全部贷给丁企业,即贷给丁企业64万元……这个过程不断继续。如下表所示:

银行

存款金额

贷款金额

准备金额

A

100

80

20

B

80

64

16

C

64

51.2

12.8

D

51.2

40.96

10.24

……

……

……

……

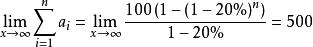
原始存款100万元导致最终存款达到500万元,最终存款是原始存款的5倍,这就是存款乘数。

如何计算:

第一个银行:100,第二个银行:80,第三个银行:64,...,第n个银行:image

image个银行,存款总额就将无限接近500,因为image