• 1.摘要
  • 2.基本信息
  • 3.定义
  • 4.测量方法分类
  • 5.抗冲击强度测量实验
  • 5.1.简支梁抗冲击强度与悬臂梁抗冲击强度
  • 5.2.落球或落锤式抗冲击试验
  • 6.缺口试样和无缺口试样的冲击实验的不同

抗冲击强度

抗冲击强度可直接反映、评价或判断一种材料(或者产品)的抵抗冲击能力(脆性、韧性程度),业界比较流行用三种方法:简支梁冲击(也称Charpy冲击)、悬臂梁冲击(也称Izod冲击)和落球(或者落锤)冲击。前两种方法(简支梁和悬臂梁)主要用来判断材质本身在冲击性能方面的好差,这两者没有实质的联系,区别在于悬臂梁的冲击程度厉害一点,用简支梁冲不断的材料一般会选用悬臂梁冲击;落球或落锤冲击反映的是产品本身的抗冲性能(一个产品的抗冲能力由材质、厚度、结构等多种因素决定)。

基本信息

  • 中文名

    抗冲击强度

  • 外文名

    impact resistance of paper

  • 用于

    大型重负荷包装箱的检测

  • 反映

    内包装对货物的保护性能

定义

抗冲击强度是直接反映、评价或判断一种材料(或者产品)的抵抗冲击能力(脆性、韧性程度)的指标,常用三种方法进行测量:简支梁冲击(也称Charpy冲击)、悬臂梁冲击(也称Izod冲击)和落球(或者落锤)冲击。简支梁和悬臂梁方法可用来判断材质本身在冲击性能方面的好坏,这两者的区别在于悬臂梁的冲击程度厉害一点,用简支梁冲不断的材料一般会选用悬臂梁冲击;而落球或落锤冲击反映的是产品本身的抗冲性能(一个产品的抗冲能力由材质、厚度、结构等多种因素决定)。

这三种冲击由于所选用的试验条件的不同(如试样规格、跨距形式、冲击方式、冲击速度、缺口类型等),又引发出多种试验项目,如:低温冲击、高温冲击、无缺口冲击、缺口冲击、贯层冲击等等。

测量方法分类

测试工程塑料抗冲击强度试验的方法较多,主要有摆锤冲击试验法、落锤冲击试验法。摆锤冲击试验又分简支梁法(Charpy法)和悬臂梁法(Izod法)。国内测试工程塑料抗冲击强度使用较多的是简支梁法,而国外则大多使用悬臂梁法。选用抗冲击强度数据时,应注意所采用的试验方法。简支梁冲击试验所用的试样分为无缺口和有缺口两种。

(1)无缺口试样简支梁抗冲击强度:其抗冲击强度是指无缺口试样在冲击载荷作用下,破坏时所吸收的冲击能量与试样的原始横截面积之比,单位为kJ/m2。

(2)缺口试样简支梁抗冲击强度:其抗冲击强度是指缺口试样在冲击载荷作用下,破坏时所吸收的冲击能量与试样缺口处的原始横截面积之比,单位为kJ/m。悬臂梁冲击试验所用的试样开有缺口,以试样破断时单位宽度所消耗的能量来衡量,单位是J/m。如下表1,列出了一些工程塑料的悬臂梁缺口抗冲击强度。

表1一些工程塑料的悬臂梁缺口抗冲击强度

名称

悬臂梁缺口抗冲击强度(J/m)

名称

悬臂梁缺口抗冲击强度(J/m)

PA6

56

PA1010

40-50

PA66

40

ABS

105-215

PA11

39

聚碳酸酯

660-880

PA12

50

聚甲醛

60-80

抗冲击强度测量实验

简支梁抗冲击强度与悬臂梁抗冲击强度

两种抗冲击强度试验示意图

简支梁冲击强度与悬臂梁冲击强度表示的是材料单位面积内吸收的能量,吸收的越多,就表示材料抗冲能力越好。如右图,是两种冲击的示意图。

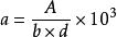
在这两种实验中,抗冲击强度可用以下式子表示:image,其中a表示简支梁或梁或悬臂梁抗冲击强度,单位:kJ/m2(千焦每平方米);A表示试样吸收的冲击量,单位J;b代表试样宽度,单位mm;d代表试样厚度,单位mm,如果是缺口冲击,厚度减去缺口后剩余厚度。

简支梁抗冲击试验机

从计算公式可以知道,试验时所选择试样的规格(厚度、宽度、有无缺口等)对试验结果会有影响;更进一步探讨的话,试验时的温度、选择的冲击能量、冲击速度、跨距等等都会影响试验结果;理论上来说,所用试样的宽度、厚度越大,所吸收的冲击能量A(单位:J)越大,但是相应的b×d(冲击面积)也大(冲击面积与冲击能量的关系比较复杂,影响因素较多,不是成线性正比的关系),这样得出的冲击强度在不同厚度之间虽然有偏差,但不会很大,而且不一定是厚度厚的试样冲击强度就高(冲击强度只是反映材质本身,判断材料某一个厚度的抗冲能力,可以比较其所吸收的冲击能量A的大小)。

同时,对于刚性材料来说,在某一程度的厚度及支撑跨距下,存在结构弹性,对冲击试验结果影响比较大,因此国标也作出规定:厚度小于3mm的试样一般不做简支梁或悬臂梁冲击试验,厚度上限一般不超过10mm;试验推荐采用4mm的厚度。对试验的冲击速度、跨距、厚度等也没有很明确的规定,只是提供方案推荐。

综上,比较材料(简支梁和悬臂梁)的抗冲性能,只有在相同时间段、相同试样厚度,选择相同的试验条件(跨距、冲击速度、同样的缺口类型等)下,才能进行。而且由于材料抵抗冲击能量的影响因素很复杂,简支梁或悬臂梁反映的抗冲能力只是一个片面,所以简支梁或悬臂梁多作为辅助参考,判断材料抗冲性能一般需要结合多种检测项目(断裂伸长率、弹性模量、冲击强度等等)综合判定。如:某些芯层发泡的材料,做简支梁或悬臂梁冲击,数据极低,但做落球冲击时数据并不比相类的材料的差。

落球或落锤式抗冲击试验

落球冲击和落锤冲击反映的是产品本身的抗冲性能(一个产品的抗冲能力由材质、厚度、形状结构等多种因素决定)。将样品放在一定形状的一定尺寸的支撑跨距上,用一特定形状和重量的球(或锤),从一定的高度自由落下对样品进行冲击,通过改变球(或锤)的重量或落下高度,和一定数量的样品,多次试验,从而定性判断或定量得出样品被破坏所需的能量。