• 1.摘要
  • 2.基本内容
  • 3.历史
  • 4.证明
  • 4.1.证明m0不会是偶数
  • 4.2.证明m0=1
  • 4.3.引理的证明

拉格朗日四平方和定理

四平方和定理说明每个正整数均可表示为4个整数的平方和。它是费马多边形数定理和华林问题的特例。

基本内容

注意有些整数不可表示为3个整数的平方和,例如7。

历史

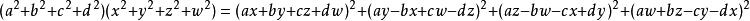
1743年,瑞士数学家欧拉发现了一个著名的恒等式:

image

根据上述欧拉恒等式或四元数的概念可知如果正整数imageimage能表示为4个整数的平方和,则其乘积image也能表示为4个整数的平方和。于是为证明原命题只需证明每个素数可以表示成4个整数的平方和即可。

1751年,欧拉又得到了另一个一般的结果。即对任意奇素数image,同余方程image必有一组整数解image满足image(引理)。

至此,证明四平方和定理所需的全部引理已经全部证明完毕。此后,拉格朗日和欧拉分别在1770年和1773年作出最后的证明。

证明

根据上面的四平方和恒等式及算术基本定理,可知只需证明质数可以表示成四个整数的平方和即可。

image,因此只需证明奇质数可以表示成四个整数的平方和。

显然,奇质数p必有正倍数可以表示成四个整数的平方和(如4p^2)。在这些倍数中,必存在一个最小的。设该数为image。又从引理可知image

证明m0不会是偶数

image是偶数,且image。由奇偶性可得知必有两个数或四个数的奇偶性相同。不失一般性设image的奇偶性相同,image的奇偶性相同,image均为偶数,可得出公式:

image是正整数使得假设image可以表示成四个整数的平方和不符。

证明m0=1

现在用反证法证明image。设image

image不可整除xj的最大公因子,否m0^2可整除m0p,则得m0是p的因子,但1 < m0 < p且p为质数,矛盾。 故存在不全为零、绝对值小m0/2(注意m0是奇数在此的重要性)整数的y1,y2,y3,y4使得 yyj= xj(mod m0)。