• 1.摘要
  • 2.基本信息
  • 3.定义

韦伯数

韦伯数是流体力学中的一个无量纲数,当不同的流体之间有交界面时,尤其在多相流中交界面的曲率较大时,它用来分析流体运动。

基本信息

  • 中文名

    韦伯数

  • 外文名

    Weber number

  • 属性

    一个流体力学中的无量纲数

  • 含义

    惯性力和表面张力量级之比

  • 例子

    肥皂泡表面张力波

定义

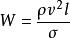
它的计算公式为:

image

其中ρ为流体密度 ( Kg/m3),v为特征流速( m/s ), l为特征长度( m ), σ为流体的表面张力系数( N/m )。

韦伯数代表惯性力和表面张力效应之比,韦伯数愈小代表表面张力愈重要,譬如毛细管现象、肥皂泡、表面张力波等小尺度的问题。一般而言,大尺度的问题,韦伯数远大于1.0,表面张力的作用便可以忽略。