多普勒效应

多普勒效应(Doppler effect)是为纪念奥地利物理学家及数学家克里斯琴·约翰·多普勒(Christian Johann Doppler)而命名的,他于1842年首先提出了这一理论。主要内容为物体辐射的波长因为波源和观测者的相对运动而产生变化。
在运动的波源前面,波被压缩,波长变得较短,频率变得较高(蓝移blue shift);在运动的波源后面时,会产生相反的效应。波长变得较长,频率变得较低(红移red shift);波源的速度越高,所产生的效应越大。根据波红(蓝)移的程度,可以计算出波源循着观测方向运动的速度。
恒星光谱线的位移显示恒星循着观测方向运动的速度,除非波源的速度非常接近光速,否则多普勒位移的程度一般都很小。所有波动现象都存在多普勒效应。
基本信息
- 中文名
多普勒效应
- 外文名
Doppler effect
- 适用领域范围
物理、医学、交通
- 应用学科
物理
- 提出时间
1842年
- 提出者
克里斯琴·约翰·多普勒
发现
虽然不像苹果砸到牛顿头上,激发“万有引力”的灵感那么神奇,多普勒效应也是一个偶然的发现。1842年奥地利一位名叫多普勒的数学家、物理学家。一天,他正路过铁路交叉处,恰逢一列火车从他身旁驰过,他发现火车从远而近时汽笛声变响,音调变尖,而火车从近而远时汽笛声变弱,音调变低。他对这个物理现象感到极大兴趣,并进行了研究。发现这是由于振源与观察者之间存在着相对运动,使观察者听到的声音频率不同于振源频率的现象。这就是频移现象。因为,声源相对于观测者在运动时,观测者所听到的声音会发生变化。当声源离观测者而去时,声波的波长增加,音调变得低沉,当声源接近观测者时,声波的波长减小,音调就变高。音调的变化同声源与观测者间的相对速度和声速的比值有关。这一比值越大,改变就越显著,后人把它称为“多普勒效应”。
原理
多普勒效应指出,波在波源移向观察者接近时接收频率变高,而在波源远离观察者时接收频率变低。当观察者移动时也能得到同样的结论。但是由于缺少实验设备,多普勒当时没有用实验验证,几年后有人请一队小号手在平板车上演奏,再请训练有素的音乐家用耳朵来辨别音调的变化,以验证该效应。假设原有波源的波长为λ,波速为c,观察者移动速度为v:
当观察者走近波源时观察到的波源频率为(c+v)/λ,反之则观察到的波源频率为(c-v)/λ。
一个常被使用的例子是火车的汽笛声,当火车接近观察者时,如果观察者远离波源,其汽鸣声会比平常更刺耳。你可以在火车经过时听出刺耳声的变化。同样的情况还有:警车的警报声和赛车的发动机声。
如果把声波视为有规律间隔发射的脉冲,可以想象若你每走一步,便发射了一个脉冲,那么在你之前的每一个脉冲都比你站立不动时更接近你自己。而在你后面的声源则比原来不动时远了一步。或者说,在你之前的脉冲频率比平常变高,而在你之后的脉冲频率比平常变低了。
产生原因:声源完成一次全振动,向外发出一个波长的波,频率表示单位时间内完成的全振动的次数,因此波源的频率等于单位时间内波源发出的完全波的个数,而观察者听到的声音的音调,是由观察者接受到的频率,即单位时间接收到的完全波的个数决定的。当波源和观察者有相对运动时,观察者接收到的频率会改变.在单位时间内,观察者接收到的完全波的个数增多,即接收到的频率增大.同样的道理,当观察者远离波源,观察者在单位时间内接收到的完全波的个数减少,即接收到的频率减小.
公式
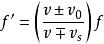
观察者 (Observer) 和发射源 (Source) 的频率关系为:![]()
为观察到的频率;
为发射源于该介质中的原始发射频率;
为波在该介质中的行进速度;
为观察者移动速度,若接近发射源则前方运算符号为 + 号, 反之则为 - 号;
为发射源移动速度,若接近观察者则前方运算符号为 - 号,反之则为 + 号。
通过这个公式,我们就知道火车接近你的时候音调变化的原因:公式中分子是声音传播速度和观察者速度之和(v+v0),分母是声音传播速度和火车速度之差(v-vs),然后和声源原始频率(
)进行乘法运算。观察者接受到的频率
比火车笛声的原始频率变高,所以听到的火车鸣笛音调变高。反之,当观察者和火车远离的时候,分子减法运算变小,分母加法运算变大,计算得到的频率比火车鸣笛的原始声音频率变低,故听到音调变低。
适用
多普勒效应不仅仅适用于声波,它也适用于所有类型的波,包括电磁波。科学家爱德文·哈勃(Edwin Hubble)使用多普勒效应得出宇宙正在膨胀的结论。他发现远离银河系的天体发射的光线频率变低,即移向光谱的红端,称为红移,天体离开银河系的速度越快红移越大,这说明这些天体在远离银河系。反之,如果天体正移向银河系,则光线会发生蓝移。
在移动通信中,当移动台移向基站时,频率变高,远离基站时,频率变低,所以我们在移动通信中要充分考虑多普勒效应。当然,由于日常生活中,我们移动速度的局限,不可能会带来十分大的频率偏移,但是这不可否认地会给移动通信带来影响,为了避免这种影响造成我们通信中的问题,我们不得不在技术上加以各种考虑。也加大了移动通信的复杂性。
在单色的情况下,我们的眼睛感知的颜色可以解释为光波振动的频率,或者解释为,在1秒钟内电磁场所交替为变化的次数。在可见区域,这种频率越低,就越趋向于红色,而频率越高的,就趋向于蓝,紫色。比如,由氦——氖激光所产生的鲜红色对应的频率为4.74×10^14赫兹,而汞灯的紫色对应的频率则在7×10^14赫兹以上。这个原则同样适用于声波:声音的高低的感觉对应于声音对耳朵的鼓膜施加压力的振动频率(高频声音尖厉,低频声音低沉)。