大气透明系数
大气透明系数是表征大气透明度的特征量,是指透过一个大气质量的透射辐射与入射辐射之比。当太阳位于天顶时,在大气上界的辐射通量为S0,而到达地面的为S,则S/S0=P。P即为大气透明系数。它表明辐射通过大气后的削弱程度。
基本信息
- 中文名
大气透明系数
- 外文名
atmospheric transparency factor
- 定义
表征大气透明度的特征量(P)
- 作用
表征大气透明度
- 应用
环境学、气象学
- 影响因素
大气质量数、水汽、灰尘等
概述
不同波长的削弱不同,P仅表征对各种波长的平均削弱情况,例如P=0.8,表示平均削弱了20%。大气的透明系数取决于所含水汽、水汽凝结物和尘埃杂质的多少,这些物质愈多,透明度愈差,透明系数愈小,太阳辐射被削减愈多;反之,大气愈干洁,透明度愈好,透明系数愈大,太阳辐射被削弱愈少。
公式推导
太阳辐射通过地球大气被大气吸收和散射以后到达地面的辐射量,称为大气对太阳辐射的透射量。根据比尔(Beer)定律,大气对太阳辐射的减弱服从负指数规律;表示式为:
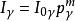
式中,Ior是入射波长为A的太阳辐射强度;Ar为单位大气质量的减弱系数(包括散射减弱和吸收减弱);m为大气质量数,如果不考虑地球的曲率,m是天顶距θ的函数,即m=secθ(当θ〈60°时适用);天顶距不同,即大气光学路程不同,则大气质量m也不相同。
由上式可知,大气对太阳辐射的透射量与大气中吸收和散射物质的性质有关,与光线通过大气的光学路程有关。显然,天顶距越小,光线穿过大气的光程越长,大气对太阳辐射的减弱能力越大,则太阳辐射的透射量就越小反之就愈大。因此,可定义:
称Pr为对波长r的透射系数,表示大气对太阳辐射的透射能力。因此,有![]()
则:
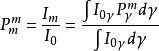
对太阳辐射的所有波长积分,则有:

这里,Im表示经过大气减弱后透射到地面的太阳辐射强度,可以通过日射观测仪器在地面直接测量来获得;I0为太阳常数。可见,Pm是实际到达地面的太阳辐射强度Im与到达大气上界的太阳常数I0之比的积分平均值,通常称为积分平均大气透明系数,表达式为:1
影响因素
由于太阳辐射通过大气时各波长所受到的减弱作用不同,使得Pm与Pr也不相同。它随大气质量m而变化,短波部分比长波部分所受到的减弱作用更大一些;所以通过大气质量越多,长波部分所占的比例就越大。因此,大气透明度系数Pm是随着大气质量数m的增加而增大的。此外,同一大气质量情况下的Pm在不同的季节、不同的月份中也是各不相同的,即大气透明度系数Pm是时间的函数,而且Pm(t)这一函数关系的具体形式至今仍不清楚;大气透明度系数Pm还因大气分子、水汽和灰尘含量等而发生变化,不易精确计算。1
参考资料
- 1胡继超微气象学基础气象出版社2014