• 1.摘要
  • 2.基本信息
  • 3.质点的运动
  • 4.
  • 5.动力学
  • 6.振动和波
  • 7.冲量与动量
  • 8.功和能
  • 9.分子动理论
  • 10.气体的性质
  • 11.电场
  • 12.恒定电流
  • 13.磁场
  • 14.电磁感应
  • 15.电磁振荡
  • 16.光的本性
  • 17.原子和原子核
  • 18.基本物理常数
  • 19.参考资料

常用物理公式大全

物理学公式

常用物理公式大全指对常用的物理公式的汇总,包含质点的运动、动力学、振动和波、冲量与动量等公式。

1/2

基本信息

  • 中文名

    常用物理公式大全

  • 外文名

    Physical formula collection

  • 范畴

    经典物理

  • 学科

    物理

  • 发现者

    牛顿焦耳

  • 用途

    解决基本物理问题

质点的运动

直线运动

1)匀变速直线运动

1.平均速度image(定义式)

2.有用推论 v2-v02=2ax

匀变速直线运动

3.中间时刻速度image

4.末速度image

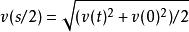
5.中间位置速度image

6.位移image

7.加速度image(以image为正方向,imageimage同向(加速)image;反向则image

8.实验用推论imageimage为连续相邻相等时间image内位移之差)

9.主要物理量及单位:初速度image:米每秒image;加速度image:米每平方秒image;末速度image:米每秒image;时间image:秒image;位移image:米image;路程:米;速度单位换算:image。注:

(1)平均速度是矢量;

(2)物体速度大,加速度不一定大;

(3)image只是量度式,不是决定式;

(4)其它相关内容:质点、位移和路程、参考系、时间与时刻(见第一册P19)/s--t图、v--t图/速度与速率、瞬时速度(见第一册P24)。

2)自由落体运动1

自由落体运动