• 1.摘要
  • 2.基本信息
  • 3.定义
  • 4.常用方法
  • 5.参考资料

拉普拉斯逆变换

数学函数

拉普拉斯逆变换为当已知信号函数x(t)的拉普拉斯变换X(s),求解信号的时域表达式x(t)。

1/2

基本信息

  • 中文名

    拉普拉斯逆变换

  • 外文名

    Inverse Laplace transform

  • 类型

    函数

  • 特点

    求原函数f(t)的运算

定义

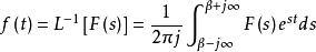
拉普拉斯逆变换可以表示为已知函数f(t)的拉普拉斯变换F(s),求原函数f(t)的运算为拉普拉斯反变换。其公式为:image

常用方法

1、部分分式展开法

将X(s)分解为因式image之和,然后利用拉普拉斯变换公式求其反变换。1

2、留数法

变换公式为:image

参考资料

  • 1
    陈后金,胡健,薛建信号与系统北京高等教育出版社2007.12272--278