• 1.摘要
  • 2.基本信息
  • 3.概念理解
  • 4.产生原因
  • 5.影响因素
  • 6.减小方法
  • 7.参考资料

兴波阻力

兴波阻力,是指船舶航行时兴起重力波引起的阻力。其值除与船长、船型和船舶航行方式有关外,还随航速而增大,高速船兴波阻力可占总阻力50%左右。减小兴波阻力的主要途径是改进船型,即使船体各局部兴波叠加后所对应总体兴波达到最小(如采用双体船型、加装球形首等);或改变航行方式,船舶若能脱离水面腾空航行或潜水航行,则因水面无波浪兴起也可避免产生兴波阻力1

基本信息

  • 中文名

    兴波阻力

  • 外文名

    wave making resistance

  • 概念

    波浪所引起的阻力

  • 别称

    压力阻力

  • 一级学科

    船舶工程

  • 二级学科

    船舶术语

概念理解

船舶等浮式结构物在水面或近水面上航行时,物体后面会兴起波浪。显然这个波浪的能量是由运动物体对水体做功提供的,因此物体将由于兴波而遭受阻力,这就是所谓的“兴波阻力”。

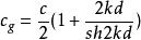
设物体是二维的,匀速运动速度为u,则运动引起的兴波传播速度c=u。单位时间内新增波的能量为E0u,此波能由两部分组成:一部分来自物体单位时间内为了克服兴波阻力所做的功Rwu,另一部分则为原先形成的波转移而来的能量E0cg。因此

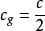
对有限水深情况,image,所以

对无限水深情况,image,有

由此可见,物体在水面附近运动引起的兴波阻力大小主要取决于波幅,减小兴波阻力的主要措施就是要降低兴波的波幅2

产生原因

船舶行驶时,船首对水施加压力,把水劈开而前进,于是就激起了一组随船前进的波浪,这就是首波。船尾在前进时,水中留出了一个低压区,成为波谷,形成了一组由船尾引起的波浪,称为尾波。由于船舶航行时,船体兴起了首波和尾波,需要能量,形成了兴波阻力。因为它是由于水的压力变化而引起的,所以又叫做压力阻力3

影响因素

船行波分船首波和船尾波,在船行波传播中,如果船首波与船尾波在船尾处互相迭加,兴波阻力就大;如果船首波和船尾波在船尾处互相抵消,兴波阻力就小。所以兴波阻力的大小,主要与航速和船长有关。航速越快,兴波阻力越大。

随波的船舶不断有能量传播下去,这个能量是靠船舶克服兴波阻力做功得到的,船型与波速都对兴波阻力有显著的影响。兴波阻力与粘性无关3

减小方法

为了减小兴波阻力,在船舶设计时可以采用球鼻首,即把船着水线以下做成球鼻状的流线型,利用球状部分所形成的低压,降低首波的高度,从而减小兴波阻力,这是一种既经济又有效的提高船速的方法。另外,在一定的设计航速下,适当选择船的长度,可以减少兴波阻力。远洋船多采用球鼻船首型,就是为了调整船长,以达到减少兴波阻力的目的3

参考资料

  • 1
    马广文交通大辞典上海交通大学出版社2005.01
  • 2
    朱仁庆,杨松林,王志东编著,船舶流体力学,国防工业出版社,2015.07,第221页
  • 3
    孙文俊,刘建勋编著,渡河桥梁装备设计与计算=THE DESIGN OF MILITARY BRIDGING AND RIVER-CROSSING EQUIPMENT,国防工业出版社,2013.03,第55页