• 1.摘要
  • 2.基本信息
  • 3.总体介绍
  • 4.出口物价指数的计算方法
  • 5.参考资料

出口物价指数

出口物价指数是反映我国向国外出售商品的价格总水平变动情况的相对数。可按全部出口商品价格编制出口物价总指数,也可按各类出口商品价格编制出口商品类指数。

基本信息

  • 中文名

    出口物价指数

  • 外文名

    Price index of exports

  • 所属学科

    数学(统计学)经济学

  • 相关概念

    进出口物价指数基期计算期等

总体介绍

进出口物价指数是反映各时期进出口货物价格变动情况的指数。可以按个体编制,也可按分类编制,还可以按进出口物价的总体编制。编制分类或总体的进口或出口物价指数公式为

进出口物价指数image.

式中:image为进口或出口总计的符号,image为报告期进口或出口的某种货物单位平均到岸或离岸价格,image为基期进口或出口的某种货物单位平均到岸或离岸价格,image为报告期进口或出口该种货物的量。进出口某种货物的平均到岸或离岸价格是进口或出口该种货物的到岸价格总额或离岸价格总额,除以进口或出口该种货物的总量之商。实际工作中,进出口物价指数是按进口物价指数和出口物价指数分别统计的。分别反映进口物价和出口物价的情况1

出口物价指数的计算方法

出口商品的价格。虽然以货币单位来表示的,但由于各种商品的使用价值和计量单位都不同,所以不能直接相加。例如,如果把一吨大米、—-匹棉布和一箱猪鬃的价格相加,就毫无意义。那么,要了解各种商品出口价格的平均变动情况,就要设法把不能同度量的数值变为可以同度量的数值,然后再来计算指数。我们知道,出口贸易额是一个可以同度量的数值,因此,把各种商品基期和计算期的价格,都分别乘上它们的出口数量,就可以把不能同度量的商品价格变为可以同度量的出口贸易额,这样就可以进一步计算指数了。但在出口贸易额的变动中,包括了出口商品数量和出口商品价格等两个因素,因此,还必须把出口商品数量的变动因素固定下来,才能表明出口商品价格的变动情况。现在,我们还是用例子来说明它的计算方法(见表1)2

表1 出口物价指数计算表

商品名称

单位

出口商品价格

计算期出口商品数量

按基期价格计算期出口量计算的假定贸易额

计算期实际出口贸易额

基期

计算期

image

image

image

image

image

(1)

(2)

(3)

(4)=(1)×(3)

(5)=(2)×(3)

大米

118

263

900

106,200

236,700

上表中,两者的数量都是用计算期的出口量,所以,它们之间的差别,主要是由于两个时期价格不同的缘故,因此,将两者进行对比,就可以说明这三种商品出口价格的平均变动程度,即:

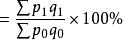
出口物价指数=image

以上计算结果说明,这三种商品的出口价格平均上涨了58.3%。

由此,我们可以得出出口物价指数的计算公式为:

出口物价指数=(计算期每种商品的出口价格×计算期每种商品的出口数量)的总和/(基期每种商品的出口价格×计算期每种商品的出口数量)的总和。

用符号表示:

式中:image代表出口物价指数。

从上述中,我们也可以得知:同度量因素是在计算综合指数时,为了解决现象的量不能直接相加而使用的一个媒介因素。它在计算综合指数时,起着同度量和权数两方面的作用2

参考资料

  • 1
    邹振旅经济活动国际惯例 大辞典当代世界出版社1995年04月第1版
  • 2
    郑敦诗中国对外贸易统计中国对外经济贸易出版社1996.01