• 1.摘要
  • 2.基本信息
  • 3.定义
  • 4.分布函数与分布密度
  • 4.1.定理1
  • 4.2.推论1
  • 4.3.定理2

顺序统计量

顺序统计量,别称是变量序列,亦称变列分布函数。数理统计中的一种常用统计量。将样本观测值由小到大排列得到的统计量。

基本信息

  • 中文名

    顺序统计量

  • 外文名

    order statistic

  • 别称

    变量序列变列分布函数

  • 所属领域

    数理统计

  • 特点

    将样本观测值由小到大排列

定义

image为总体image的样本,记image为将image从小到大排列的第image个值,即对于任意基本事件image,image为将image从小到大排列的第image个值(image).称image顺序统计量

对于顺序统计量image,显然有

image

顺序统计量计算简便,在某些方面有着广泛的应用。但是,顺序统计量image一般不相互独立,也不同分布。

image称为最小顺序统计量,image称为最大顺序统计量,image称为极差。极差在实际中用来衡量方差的大小,反映了随机变量image取值的分散程度。

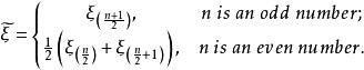
image为样本中位数,样本中位数反映了随机变量image在实轴上分布的位置特征。

分布函数与分布密度

下面主要对总体image为连续型的情形进行讨论,此时,可认为有(其它情形出现的概率为0)

image

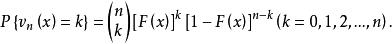
定义经验频数image为对总体image作n次重复独立观测时随机事件image出现的次数,对于任意给定的实数image是一个统计量,且当image的分布函数为F(x)时,有

image

image

对总体image作n次重复独立观测,也就是从总体image中抽取容量为n的样本(image)。

image的定义,不难得到image与顺序统计量image有如下的关系:

image{{image}出现image次}={image},其中image

image{{image}出现次数image}=image,其中image

下面利用image的分布来求顺序统计量image的分布。

定理1