反冲电子
反冲电子是X射线与物质相互作用产生的一种电子。一般认为,电子被光子散射,由于获得的能量特别大,直接反冲出原子的束缚,因而就此定义它为反冲电子。
基本信息
- 中文名
反冲电子
- 外文名
Recoil electronics
- 来源
X射线与物质相互作用产生
- 分类
微观粒子
- 学科
原子物理学
概念
X射线与物质相互作用会产生:散射X射线、电子、荧光X射线;还有穿过物质的透射X射线和热能。产生的电子包括有俄歇电子、光电子、和反冲电子。X射线散射中的非相干散射,当能量为hv的光子与自由电子或与受核束缚较弱的电子碰撞,将一部分能量传给电子,使其动量提高,成为反冲电子。
对于光子散射后的状况,相关论述已作探讨,且散射后的光子数与散射体的电子密度有关系,相应地也提出了很多应用方面的研究,甚至有些应用已经非常成熟。但是对于散射后电子的状态,还没有较为全面的讨论。1
反冲电子的可能状态
一般认为,未发生康普顿散射之前,电子绕核在一定轨道上运动,电子的能量状态是量子化的,不同能级上电子的能量状态不同。发生康普顿散射之后,电子获得一定的能量,因此反冲电子的状态也就南所获得的能量值决定。
原有状态
如果所获得的能量为零(对应散射角度为0),此时电子将保持原有状态。
电磁辐射状态
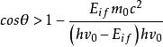
假定跃迁所需能量为Eif,当光子散射角满足
这时散射电子所获得的能量将低于跃迁所需要的能量值,考虑到原子具有再生性特点,散射电子将把在散射中获得的能量以电磁辐射的形式辐射出去,并恢复到原来状态。
激发态
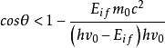
当散射角满足
此时,电子所获得的能量满足跃迁所需能量,电子可能跃迁至激发态。由于入射光子的扰动,处于激发态的光子仍有可能跃迁回原稳定态,同时辐射Eif的能量。
跃迁至激发态
当散射角满足
电子所获得的能量超过跃迁所需能量,电子的行为可能表现为跃迁至激发态,同时把多余的能量辐射出去。由于入射光子的扰动,处于激发态的光子仍有可能跃迁回原稳定态,同时辐射Eif的能量。不过,从量子力学角度看,由于电子跃迁到更高能级必须遵循一定的选择定则,而电子所获能量无法满足该要求,因此,电子所处状态应该与情形(1)一致:散射电子将把在散射中获得的能量以电磁辐射的形式辐射出去,并恢复原状,而不是发生跃迁。
反冲出原子束缚
当散射角满足![]()