• 1.摘要
  • 2.基本信息
  • 3.定义
  • 4.详细分析
  • 5.参考资料

有理指数定律

有理指数定律(law of rational indices)又称“整数定律”或“阿羽依定律”,是关于单晶体外形晶面的一条实验定律。该定律指出:任意晶面在适当选择的三维坐标轴上的截距(用选定的长度单位来量度)都是有理数。具体说来,先在晶体上选择三维坐标系,其坐标轴平行于三条晶棱。再选一个与三个坐标轴都相交的晶面。此晶面在三轴上的截距a、b、c取为沿各轴的长度单位。则任意别的晶面在三轴上的截距是a'=ma,b’=nb,c'=pc。实验发现,m、n、p是有理数。有理指数定律反映晶体原子排列的周期性,也完全可以从理论上得到证明1

基本信息

  • 中文名

    有理指数定律

  • 外文名

    law of rational indices

  • 别名

    整数定律阿羽依定律定律

  • 属性

    单晶体外形晶面的一条实验定律

定义

就每一品种的晶体来说,必可觅得一套称为晶轴系的坐标轴系,从而使晶体上每个晶面在这三个晶轴上的倒易截数成简单的互质整数之比,即image这一规律性称为有理指数定律,整数image称为晶面的指数,符号image称为晶面的记号,有理指数定律突出地反映了晶体的点阵式构造。

图1(a)有理指数定律
图1(b)有理指数定律

详细分析

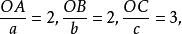
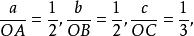
设晶体的晶胞系由向量image所规定,现以点阵点O为原点,向量image为三个坐标轴,而某一平面点阵的平面在三个坐标轴上的截点为image如图1中所示在图中,这个平面的截长为image截数为image而倒易截数为image设在上述平面点阵中有一点阵点为P,并设

在此,P点的坐标image必为有理数,且应满足平面的方程:

在上式中,平面上各点阵点的坐标image既为有理数,倒易截数image就不能不是有理数。这三个倒易截数既为有理数,它们之比必可通约为三个互质的整数之比,即image这样的三个互质整数可以代表上述平面点阵所属的平面点阵组,一般并用符号image即(332)表示这一组平面点阵,图2 示出吐酒石晶体的点阵中若干平面点阵组的记号。

图2

综上所述,我们就可以这样来选取晶轴系image设取image各与晶胞的image平行,并使

在此比率image称为晶体的轴率中。图1示出,在这样的晶轴系中,晶体按平面点阵组(332)铺盖成的晶面的倒易截数之比亦为image从而晶面的符号亦为(332),由此可见,有理指数定律的基础也是晶体的空间点阵式的构造。图3示出在吐酒石晶体的外形中安放的一套晶轴image它们各和晶胞的向量image平行,而轴率为image

图3(a)
图3(b)
图3(c)

晶体上每个晶面一般为原子或原子团按晶体点阵中间距较大的平面点阵铺成的平面,而这样的平面点阵一般具有较为简单的指数,图4示出点阵中各平面点阵组的间距随其指数的增大而递减的情况。因此,晶体上各个晶面的指数一般限于简单的整数。

图4