逐步法
学领域里用逐步逼近法处理问题是极为广泛的。在物理、化学、生物诸多实验中,寻找某一反应现象的最佳状态条件时,往往用到逐步逼近法。
基本信息
- 中文名
逐步法
- 相关
逐步淘汰逼近、逐步调整逼近
- 别称
逐步逼近法
逐步法简介
数学中的逐步逼近法是这样一种方法,为了解决一个数学问题,首先从与该问题的实质内容有着本质联系的某些容易着手的条件或某些减弱的条件出发,再逐步地扩大(或缩小)范围,逐步逼近,以至最后达到问题所要求的解。
逐步逼近法在解决问题的过程中,使后步比前一步更接近探索目标,其一般有三种结果:
(1)通过有限步逐步逼近最终达到目标
(2)通过无限逼近的极限,最终达到目标;
(3)不能最终达到目标,但可以通过多次的逼近,取得对目标的接近而达到一定的要求。
逐步法又称验误法,是通过逐次假设求得估计残值的现值,而取其最准确者。逐步法往往需要反复验证若干次,才能得到正确或较正确的答案,从而效率较差。
逐步法举例
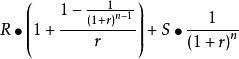
例1:租凭计算
以租凭利率计算为例,通过逐次试错、推断和修正,使以下公式成立,从而求得租赁利率,(以每期租金先付为例):

A表示租赁开始日租赁资产的公平价值; R表示每期租金数; S表示租赁资产估计残值; n表示租期; r表示折现率。
例2:分段问题
将一条长为n的线段AB分成n段,两端端点染蓝色,其余分点染红色或蓝色,求证:端点被染上两种颜色的小线段(称为“标准线段”)有偶数条。
证:首先考虑一种特殊情形:即除端点外(已染成蓝色),再将n-1个分点C(i=1,2,…,n-1)全部染蓝色,这时标准线段有0条,是偶数下面再进行调整,看此量是不是不变的。
第一步,从左自右将n-1个分点中的对应前述状态蓝点的某一点该染成红色,这时标准线段增加两条。如下图1所示:
图1