• 1.摘要
  • 2.基本信息
  • 3.简介
  • 4.影响相互扩散的参数
  • 5.相互扩散的定量分析
  • 6.相互扩散引起的老化
  • 7.应用——薄膜的界面与薄膜间的相互扩散
  • 8.参考资料

相互扩散

以膜分隔的两溶液的相对离子的种类不同时,例如:阳离子交换膜的一侧为NaCl溶液,另一侧为HCl溶液时,H+向NaCl溶液侧扩散,Na+向HCl溶液侧扩散,这种现象称为相互扩散,是与两种离子的交换速度或双离子电位直接有关。1

基本信息

  • 中文名

    相互扩散

  • 外文名

    interdiffusion

  • 实质

    扩散

  • 相关因素

    两种离子的交换速度或双离子电位

  • 影响因素

    温度时间尺寸

简介

苏联科学家首先用凝聚物体相互作用的扩散理论解释聚合物对固体表面的胶接现象。这个理论起初是作为聚合物自粘的理论而发展起来的,后扩展到聚合物的胶接。

依照扩散理论,胶擦与自粘现象均是由于聚合物高分子的端头或链节穿过最初接触面的扩散形成的。因为胶粘剂一般处于液体状态,胶粘剂高分子比被胶接材料的分子更易运动,所以胶接基本上是由于胶粘剂高分子的扩散所造成的。当被胶接物在溶剂中具有溶胀能力时,同样也存在被胶接物分子向胶粘剂内那的扩散,从扩散理论的观点看,胶接和自粘现象是空间现象,而不是表面现象。这样,胶接接头强度特性的分析属于高聚物强度的范畴。

一种物质分子在另一种物质分子中的扩散不是别的,正是物质的溶解过程,根据聚合物的胶接能力可以确定它们的相容性,或者根据它们的相容性确定聚合物的胶接能力。因为聚合物和其它材料的互溶度由它们的极性关系所确定,那么为了获得牢固的接头,聚合物间必需的互溶性原理与实验法则相吻合,根据该法则极性物质与非极性物质间不能形成牢固的胶接接头。

扩散理论的要证明是胶接接头强度对胶粘剂与被胶接物接触时间长短的依赖性和对接头强度形成时对温度的依赖性,

以及对聚合物分子量的依赖关系。同样,还有聚合物最初接触界面消失的特性。然而必须指出,在聚合物之间最初接触界面的消失不能看作为高分子扩散的唯一证明。

不容置疑,聚合物的自粘和胶接时扩散起着巨大的作用。然而,很难肯定在聚合物与金属接触时大分子链节或大分子的扩散具有任何实质的意义,尽管与聚合物的自粘和胶接现象一样,在许多情况下其胶接接头强度与接触时间、制备温度和聚合物分子量相关。2

影响相互扩散的参数

在粉末冶金工艺中,控制均匀化动力学的参数是颗粒尺寸,烧结时间和烧结温度。颗粒尺寸是很重要的,因为均匀化直接与扩散距离的平方有关。粉末颗粒尺寸决定了扩散距离,并且起着十分重要的作用。如果压坯是由两种粉末的混合料制成的,微量组元粉末的颗粒尺寸在确定扩散距离方面是更加重要。因为微量组元粉末是分布在主要组元粉末的基体上,这个基体或多或少是连续的。组成物的分布尽可能接近理想的统计分布,就可促使快速均匀化。这就意味着粉末组成物要相互混合得很好。高的压坯密度,意味采用高的压制压力,可以使粉末颗粒间接触得更紧密,而在这些粉末颗粒之间是要发生相互扩散的,所以这样就可加快均匀化的速率。然而,在低温进行均匀化处理时,表面扩散可能起着重要的作用,因此有更多的内表面而不太致密的压坯可能是有利的。

温度影响均匀化速度,因为温度与混合料组成物间的扩散系数D有关,它可以写成:image,式中D0是与温度无关的常数,Q是扩散激活能,R是气体常数,T是绝对温度。这意味着扩散系数随温度快速增加。在通常的烧结温度下扩散系数是足够大的,以至具有通常颗粒尺寸大小分布的粉末混合料,可以在一般工业用的烧结时间内得到完全均匀化。例如做结构零件的铁与石墨的混合料,在1100℃,碳向奥氏体中的扩散系数为7x10-9m2/s。而另一方面,当需要用铁和镍或锰的元素粉末混合料来生产均匀的铁镍或铁锰合金时,就需要很细的粉末或者是很长的烧结时间和很高的烧结温度。在1100℃铁向镍中的扩散系数为8x10-14m2/s。在相同温度下比碳向奥氏体中的扩散系数低105倍。如果希望由粉末制取一种成分上完全均匀化的合金钢,可以用一种含有金属合金元素但没有碳的预合金粉末与石墨相混合,经过压制和烧结而制得。虽然,合金粉末与石墨粉末的混合料的压制性要低于元素粉末混合料的。

这并不意味着在用金属粉末混合料制取材料时总是需要完全均匀化。部分均匀化合金材料的性能研究才刚刚开始。一种部份预合金化粉末与石墨粉相混合,而后进行通常的压制和烧结。这种部分预合金化粉末是采用扩散粘结工艺制成的,即将工业用镍、铜和钼粉通过扩散与工业用铁粉粘结在一起。只要将部分均匀化合金进行热处理,就可得到可以应用于结构零件的极好的机械性能。

在由铁粉和合金元素粉末,如铬、硅和钼,混合料制成的压坯中,其均匀化的速率均比铁镍或铁锰合金粉混合料的快。铁粉和合金元素粉末如铬,硅和钼混合料的成分是在铁素体区,在相应的二元相图中γ区环的外面。快速均匀化的原因在于铁与铬、硅和钼形成的固溶体的晶体结构是体心立方。在铁素体合金中铁与合金元素间的扩散系数要比铁和合金元素在奥氏体固溶体合金中的扩散系数约大100倍。在烧结温度通过互相扩散形成铁素体合金的一个实际的例子,是用于磁性材料的铁硅合金。把铁粉和铁硅粉末混合进行压制,在接近1300℃烧结一小时,可以制成含3%硅的合金。它具有均匀的显微组织和令人满意的磁学性能。3

相互扩散的定量分析

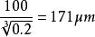
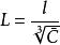
金属粉末混合料压坯在烧结过程中的均匀化首先由Rhines进行了半定量的研究。Rudmen和其合作者采用了更加定量的方法。Heckel和他的同事对金属粉末颗粒间的相互扩散的模型进行了研究和比较,并且使得今天对这个领域的了解或多或少达到明了的阶段。本处中对于相互扩散的定量分析只列举一个例子,这还不是完美无缺的处理,并且要省略大量的数学推导。这个例子是与二元系金属粉末混合料压坯中相互扩散有关,在压坯中可以形成一系列完全相互溶解的固溶体,如铜和镍。这个模型可以叫做同心球扩散模型。这种模型包含有一个混合料中微量组元球,例如镍,其直径为l,可代表是镍的颗粒尺寸。这个镍球镶嵌在主要组元球,例如铜里面。铜球的直径为L。它等于镍球直径除以合金平均成份的3次方根:image,对于含有20%体积镍粉的钢镍混合料,如果镍粉球的直径为100μm,则铜粉球的直径将是image。球型的球对称单元表示如图。对于这一简单的球壳模型,在不稳态扩散时Fick方程的解已经求出来了,而后应用到整个压坯中的物质扩散。这个解是很复杂的,并且包含有数值方法和计算机技术。3

相互扩散引起的老化

当两种材料紧密结合时,一种材料的分子会通过扩散转移到另外一种材料中去,材料原子的运动也能引发此类现象。从原子的观点来看,扩散是晶格节点处的原子迁移现象。原子必须拥有足以破坏现有节点的能量,才能在另外的品格处形成新的节点。扩散速度是一种典型的材料特征,它可以通过实验度量获得。扩散过程的最常见数学描述是Fick第二定律:

其中,Cd是扩散物种的浓度,image是梯度算子空间,t是时间,Dd是扩散系数。可以通过明确定义的实验室试验描述Dd的值,大部分工程材料的扩散系数可以从材料手册中查得。