无效证明
在数学里,有着许多明显矛盾的虚假证明存在。即使其证明是有缺陷的,其错误-通常是经过设计的-却常是较难抓摸的。这些谬误一般都尽止于好奇而已,但可以被使用显示严谨在数学中的重要性。
大多数此类的证明都仰赖著同种错误的变形。此一错误为采一非单射的函数
,以观察对某些
和
,会有
,来(错误地)做出
的结论。零除数是此类错误的一特例;
为将
映射至
的函数,而其错误的一步是起于将
的等式做成
的结论。相似地,下面证明了
的句子也是以函数
的同一种错误造成的。其错误的一步始于有某个
和
会使得
的一正确申论,然后做出了
的一错误结论。
算术例子
证明1是最大的正整数
假设最大的正整数不是
,而是
,有
;
,
为正的,所以由
得到
;
但是
还是正整数,可是没有任何正整数比
大,矛盾;
所以最大的正整数是1。
Q.E.D.
此一证明是无效的,因为最大的正整数不存在,因此不能如此假设。
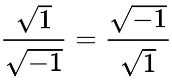
证明1等于-1
由一等式开始

将两边转成假分数

将两边开方

其会等于

两边同乘
以来消去分数
