• 1.摘要
  • 2.基本信息
  • 3.定义
  • 4.求方程的解
  • 4.1.无实数解情形
  • 4.2.求解步骤
  • 4.3.注意事项
  • 5.典型例题
  • 5.1.例1
  • 5.2.例2
  • 6.参考资料

双二次方程

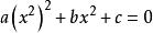
双二次方程又称“准二次方程”,是移项且合并同类项之后,只含有偶次项的四次方程;换句话讲,形如ax^4+bx^2+c=0(其中a、b、c均为不等于零的复数)的一元四次方程叫做双二次方程。实际上,通过变量替换y=x^2可以将双二次方程转化成关于y的一元二次方程:ay^2+by+c=0,先求解出 y 的值,在求出解 x 的值。需要注意的是,求出来的结果一定经过验证,看是否是原方程的解。

基本信息

  • 中文名

    双二次方程

  • 外文名

    Double two equation

  • 别名

    准二次方程

  • 定义

    只含有偶次项的一元四次方程

  • 领域

    数学

  • 求解注意事项

    需要验证

定义

双二次方程又称“准二次方程”,是移项且合并同类项之后,只含有偶次项的四次方程,其一般形式为:image

换句话说,形如image(其中a、b、c均为不等于零的复数)的一元四次方程叫做双二次方程。实际上,通过变量替换image可以将双二次方程转化成关于y的一元二次方程:image1

求方程的解

已知:image(其中a、b、c均为不等于零的复数),求该方程的解。

无实数解情形

这个方程在复数集中有解。我们只讨论无实数解的情况:

解这个方程一般方法是化为同解方程:image,以一元二次方程的解法解得image,再由此得到image。由于要求找到无法满足方程的实数image的情形,因此可能有以下情形:

(1)image不是实数;

(2)解得的两个image均满足image

下面分情况讨论:

(1)对应的image关于的一元二次方程的image

(2)关于image的一元二次方程有两个负实根。此时image(若(1)不成立则一定满足这个条件),以原方程中image作为自变量,对应的抛物线imageimage轴的交点都在的image负半轴上。于是对称轴imageimage轴左侧,即image;且代入image时,image

综上所述:若满足imageimageimage)的其中之一时,则原方程无实数解。

求解步骤

第一步,令image可以将双二次方程转化成关于y的一元二次方程:image

第二步,求解上述一元二次方程,得:

第三部,得到双二次方程求根公式为: