• 1.摘要
  • 2.基本信息
  • 3.定义
  • 4.基本物理量
  • 4.1.说明
  • 4.2.电流强度
  • 4.3.电流密度
  • 5.基本方程
  • 5.1.电荷守恒定律
  • 5.2.基本方程
  • 6.与静电场相比
  • 7.研究意义

恒定电场

恒定电场是一种闭合回路中电源两极上带的电荷和导线和其他电学元件上堆积的电荷共同激发而形成的电场,其特点是电场线处处沿着到导体方向,由于电荷的分布是稳定的(即达到动平衡状态),由这种稳定分布的电荷形成的电场称为恒定电场。

基本信息

  • 中文名

    恒定电场

  • 外文名

    constant electric field

  • 属性

    电场

  • 特点

    电荷稳定分布

  • 领域

    电磁学

  • 相关名词

    电荷守恒定律

定义

自由电荷在电场作用下做宏观定向运动形成电流,通有电流的导电媒质中的场称为电流场,当空间各点的电流密度不随时间而变时就是恒定电流场,简称恒定电场。

基本物理量

说明

静电场研究在绝缘介质中静止电荷产生的电场,主角是E和D。

恒定电流场研究在导体中稳恒流动的电流,即直流问题。主角是J和E。

电流会产生磁场。但当电流分布不随时间变化时,电场和磁场可以分开研究。

电流强度

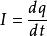
单位时间内通过某一横截面的电量,简称为电流。

公式如下:image

I 是通量,并不反映电流在每一点的流动情况。

电流密度

电流密度是一个矢量,在各向同性线性导电媒质中,它与电场强度方向一致。

(1)电流面密度

image

image

分布的体电荷以速度v 作匀速运动形成的电流。

(2)电流线密度