• 1.摘要
  • 2.基本信息
  • 3.简介
  • 4.影响因素
  • 5.运动方程

黏性流动

具有黏性的实际流体的运动。由于黏性作用,流体质点粘附在物体表面上,形成流体不滑移现象(即相对速度为零),因而产生摩擦阻力和能量耗散。同时,当流体流过钝体时,物体后部表面附近的流体受到阻滞、减速,并从表面分离,从而形成低压旋涡区(即尾流)和压差阻力。此外,粘性流动内部也有内摩擦和能量耗散。在高速粘性流动中,这种机械能损失,导致热量大量产生,而动量交换的同时必然发生质量交换。因此,粘性流动往往同传热传质现象联系在一起。

基本信息

  • 中文名

    黏性流动

  • 外文名

    viscous flow

  • 本质

    具有粘性的实际流体的运动

简介

粘性流动是自然界和工程技术中普遍存在的流动过程。例如,近地面和水面的大气边界层中的空气流动,空气绕过飞机、汽车和地面建筑物的流动,水绕桥墩、船舶和近海结构物的流动,流体在管道和涡轮机械中的流动,机器轴承中润滑液的流动,人体血管中的血液流动等都是粘性流动。

影响因素

所谓黏性流动是指非晶态固体和液体在很小外力作用下,会发生没有确定形状的变形,并且在外力去除之后,形变不能回复。

纯粘性流动服从牛顿黏性流动定律:σ=η·(dε/dt)。式中,σ为应力;(dε/dt)为应变速率;η为黏度系数,它反映了流体的内摩擦力,即流体流动的难易程度,其单位为Pa·s。在应力的持续作用下,链段沿外力方向运动取向,伴随发生分子链间的位移,具有不可逆性,这称为黏性流动。

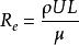
image

影响粘性流动状态的主要参数是雷诺数Re。式中ρ、μ分别为流体的密度和动力粘性系数;U、L分别为流动的特征速度和特征长度。

在几何形状相似的管道流动的液体,不论它们的液体的平均流速,液体密度如何,只要Re相同,它们的流动类型就相同。Re<1000时,液体流动为层流;Re>1500时,流体流动为湍流;当1000<Re<1500,不稳定。

当雷诺数很小时,粘性影响遍及整个流场;当雷诺数很大时,明显的粘性效应只局限于物体表面附近的一层很薄的流体(即边界层)中。另外,当雷诺数较小时,粘性流动为规则的层流;当雷诺数较大时,粘性流动则为不规则的湍流。

运动方程

描述粘性流动的运动方程是纳维-斯托克斯方程。对于圆管和楔形槽中的液体层流,G.H.L.哈根和J.-L.-M.泊肃叶等已从实验归纳出它们的规律,后来证明与精确解符合(见管流)。关于雷诺数比 1小得多的绕浸没物体的蠕动流,G.G.斯托克斯等求得一些近似解,包括著名的斯托克斯圆球阻力公式,即阻力同速度成正比(见斯托克斯流动)。对于大雷诺数情形,L.普朗特建立了有效的边界层近似理论。湍流是粘性流动中比较困难而又具有重要实际意义的问题。解决有关湍流的工程技术问题有混合长和各种模式的半经验理论(见湍流理论)。理论研究方面则发展了统计理论。在解复杂的粘性流动问题(包括分离流、湍流)中,实验和用高速电子计算机求数值解起着重要作用。