• 1.摘要
  • 2.基本信息
  • 3.概念
  • 4.基本原理
  • 5.参考资料

解向量

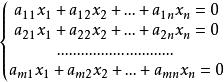
解向量是线性方程组的一个解。因为一组解在空间几何里可以表示为一个向量,所以叫做解向量。解向量在矩阵和线性方程组中是常用概念。如果n元齐次线性方程组Ax=0的系数矩阵的秩R(A)=r< p=""><>

基本信息

  • 中文名

    解向量

  • 外文名

    solution vector

  • 应用学科

    数学术语

  • 范畴

    数理科学

  • 定义

    线性方程组的一个解

  • 涉及

    齐次线性方程组

概念

解向量是线性方程组的一个解。因为一组解在空间几何里可以表示为一个向量,所以叫做解向量。解向量在矩阵和线性方程组中是常用概念。

如果image元齐次线性方程组image系数矩阵的秩image,则解空间image的基础解系存在,且每个基础解系恰有image个解向量。

基本原理

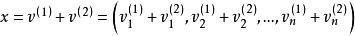
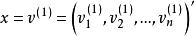
image是齐次线性方程组image的解,则称向量为方程组image的解向量,它同时也是imageimageimage这些式子的解。

齐次线性方程组的解向量有如下的性质:

性质1:若

image式子的解,则image也是image式子的解。

证明:根据image式子证明。由假设,有

将上面二等式的两端分别相加,得:

这就证明了imageimage的解。

性质2:若imageimage式子的解,image,则image也是image式子的解。

证明:由假设,有:

显然,对于任意的image,有: