• 1.摘要
  • 2.基本信息
  • 3.静电现象
  • 4.基本概念
  • 4.1.库仑定律
  • 4.2.叠加原理
  • 4.3.高斯定律
  • 5.起电
  • 6.电荷感应
  • 7.接触起电
  • 8.电荷中和
  • 9.参考文献

静电学

当把数学引入到电现象的研究中去时,一门新科学即静电学兴起了。在静电学的确立过程中,普利斯特列、卡文迪许和库仑做出了重要的贡献。

静电学是研究“静止电荷”的特性及规律的一门学科,是电学的领域之一。静电是指静电荷,是称呼电荷在静止时的状态,而静止电荷所建立的电场称为静电场,是指不随时间变化的电场。该静电场对于场中的电荷有作用力。

基本信息

  • 中文名

    静电学

  • 代表人物

    普利斯特列卡文迪许和库仑

  • 属于

    电学

  • 释义

    研究静止电荷的特性及规律的学科

  • 静电现象

    琥珀摩擦後能够吸引轻小物体

  • 基本概念

    叠加原理库仑定律高斯定律

静电现象

在公元前六世纪,人类就发现琥珀摩擦後,能够吸引轻小物体的「静电现象」。这是自由电荷在物体之间转移後,所呈现的电性。此外丝绸或毛料摩擦时,产生的小火花,是电荷中和的效果。「雷电」则是大自然中,因为云层累积的正负电荷剧烈中和,所产生的电光、雷声、热量。

静电现象包括许多大自然例子,像塑胶袋与手之间的吸引、似乎是自发性的谷仓爆炸、在制造过程中电子元件的损毁、影印机的运作原理等等。当一个物体的表面接触到其它表面时,电荷集结於这物体表面成为静电。虽然电荷交换是因为两个表面的接触和分开而产生的,只有当其中一个表面的电阻很高时,电流变的很小,电荷交换的效应才会被注意到。因为,电荷会被入陷於那表面,在那里度过很长一段时间,足够让这效应被观察到的一段时间。

静电现象是由点电荷彼此相互作用的静电力产生的。库仑定律专门描述静电力的物理性质。在氢原子内,电子与质子彼此相互作用的静电力超大於万有引力,静电力的数量级大约是万有引力的数量级的 40 倍。

基本概念

库仑定律

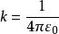
静电学最基本的定律是库仑定律。一个点电荷q作用于另一个点电荷 Q 的静电力 F,可以用库仑定律计算出来。点电荷是理想化的带电粒子。在这裏,称点电荷 q 为源点电荷,称点电荷 Q 为检验电荷。静电力的大小跟两个点电荷之间的距离的平方成反比,跟 q 、Q 的乘积成正比,作用力的方向沿连线,同号电荷相斥,异号电荷相吸:

其中,C2N-1m-2是电常数, r是从源点电荷 q 指向检验电荷Q 的向量,r 是其单位向量。

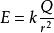
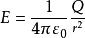
电场

电场 E 定义为作用于一个检验电荷 Q 的静电力F 除以 Q,用公式表示为

从这个定义和库仑定律,一个源点电荷 q 产生的电场可以表达为

image或者image(其中imageimage为真空中的介电常数)

叠加原理

在静电学裏,叠加原理阐明,任何两个点电荷的相互作用与其它点电荷无关。因此,给予 N个点电荷,我们可以应用库仑定律,单独地计算每一个源点电荷 qi 作用于检验电荷 Q 的静电力 Fi 。这样,作用於检验电荷 Q的总静电力 F是

。我们可以得到这便利。原因是库仑定律线性地相依於源点电荷 qi 。

将作用力除以检验电荷 Q,可以得到电场。所以,总电场 E 为,

其中,Ei 是源点电荷在检验电荷的位置所产生的电场。