• 1.摘要
  • 2.基本信息
  • 3.概述
  • 4.总温测量技术
  • 4.1.低密度风洞总温测量
  • 4.2.激波风洞总温测量
  • 5.航空航天中的燃气总温传感器

总温

总温指一流体以绝热过程完全静止时,它的动能将转化为内能时反映出来的温度。

在航空领域中,驻点温度被称为总温,并通过安装在飞行器表面上的温度探测器来测量。 探头设计成将空气相对于飞机处于静止状态。当空气相对静止时,动能转化为内部能量。 空气被压缩并经历绝热的温度升高。 因此,总温高于静态(或环境)空气温度。

总温是空气数据计算机的基本输入,以便能够计算静态空气温度,从而得到真正的空速。

基本信息

  • 中文名

    总温

  • 外文名

    total temperature

  • 相关内容

    温度密度速度马赫数

  • 状态

    绝热过程完全静止

  • 实际例子

    航空器的总温传感器

  • 相关词

    静温

概述

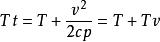
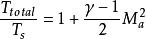
静态温度和总温之间的关系由下式给出:

image其中:image为总温,单位为℃或K;Ts为静态温度,单位为℃或K;image为比热,干燥空气比热约为1400;Ma为飞行器马赫数。

流体在流动时具有它的压力、温度、密度、速度、马赫数。如能使一流体以绝热过程完全静止时,那么它的动能将转化为内能,反映在压力、温度与密度上。此时之温度便为总温。实际例子为航空器的总温探头在前端量测的便是总温。

常用总温传感器测量大气的总温。总温传感器又称阻滞温度传感器。总温信号可供大气数据计算机作解算大气静温、真实空速等参数用。

总温测量技术

温度是表征物体状态的特征参数之一。温度测量,在空气动力学试验中有着广泛的应用。为了确定空气的密度、粘性系数和流动速度等,通常都需要测量温度。空气动力天平测得的数据要计及温度的影响,也需要测量温度。在无加热器的超声速风洞中,某些情况下需监测气流温度以防止水蒸气凝结。在有加热器的高超声速风洞中,某些情况下需要监测温度,以防止冷却器失灵造成的洞体某些部位过热。通过测量模型表面的温度分布,可确定气流在模型表面上的流动状态。总之,温度测量在空气动力学试验中具有重要的意义。

在空气动力学领域,高速气流温度的测量一般指气体总温的测量,即气流在绝热滞止状态下所能达到的温度。实测过程中完全绝热滞止是无法实现的,因此即使不存在使用误差的情况下,探针的指示温度也总是小于总温而高于静温。工程技术人员的任务在于设计出品质优良的探针,使其指示温度与总温尽可能接近,并在校准风洞上进行校正,找出两者的误差,从而对总温探针的指示温度加以修正。

低密度风洞总温测量

低密度风洞温度测量主要是指风洞驻室总温和试验段气流总温测量。此外,为了分析喷管流动状态,有时也要测量气流的震动温度和转动温度。其中,驻室总温是一个重要的状态参数。

低密度风洞驻室总温是由气流防冷凝和模型试验要求的壁温比来确定的,通常驻室总温范围为。对于这样宽的温度范围往往要用这几种手段来进行测量,包括热电偶探针、总压流量法测量总温。

激波风洞总温测量

气流的总温是高超声速试验设备模拟能力的一个重要标志,又是确定其试验气流特性的一个基本参数,因此,无论是为了校准试验设备的性能,还是提供试验数据,均需要进行总温测量。目前工程中主要有这几种常用技术:激波马赫数、驻点热流率和皮托压力、带屏蔽罩的热电偶三种测量技术。

航空航天中的燃气总温传感器

在航空航天领域中,准确测量燃烧室出口燃气流温度,能为发动机进气道及尾喷管的优化设计提供重要的参考数据。实际测量高速高焓燃气温度时,为了使传感器测量温度更接近气流真实温度,通常将传感器与合适的滞止罩配套做成总温探针样式。总温传感器测试时,燃气流受滞止室及传感器探头的双重滞止,正向流动速度迅速减小,气流的动能转变为热能,由燃气高速流动所带来的速度误差也将减小。

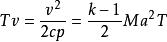
在热工流体力学中,气流的总温 Tt由静温 T和动温 Tv两部分组成。静温是度量气体分子自由运动的动能;动温是度量气体分子定向运动的动能。

image

image式中,v 为气流速度;cp为定压比热;k 为绝热指数,气体定压比热与定容比热的比值,k = cp/cv,对于空气,k =1.4;对于燃气,k =1.33;Ma 为气流马赫数。

传感器的指示温度与气流的总温的偏差,是测量误差。总温传感器示意图如图1所示。