谐波分析
简谐运动处理起来是比较简单的,但是很多振动系统的运动却不是简谐的。然而,很多情况下的振动是周期的,任何关于时间的周期函数都能展开成傅立叶级数,即无限多个正弦函数和余弦函数的和表示,我们将这种分析方法称为谐波分析。
基本信息
- 中文名
谐波分析
- 外文名
Harmonic analysis
- 引起电力注意
20世纪20年代和30年代
- 奠定基础时间
18世纪和19世纪
- 傅立叶级数
无限多个正弦函数和余弦函数的和
- 危害
效率降低、使电气设备过热
简介
起源
“谐波”一词起源于声学。有关谐波的数学分析在18世纪和19世纪已经奠定了良好的基础。傅里叶等人提出的谐波分析方法仍被广泛应用。
电力系统的谐波问题早在20世纪20年代和30年代就引起了人们的注意。当时在德国,由于使用静止汞弧变流器而造成了电压、电流波形的畸变。1945年J.C.Read发表的有关变流器谐波的论文是早期有关谐波研究的经典论文。 到了50年代和60年代,由于高压直流输电技术的发展,发表了有关变流器引起电力系统谐波问题的大量论文。70年代以来,由于电力电子技术的飞速发展,各种电力电子装置在电力系统、工业、交通及家庭中的应用日益广泛,谐波所造成的危害也日趋严重。世界各国都对谐波问题予以充分的关注。国际上召开了多次有关谐波问题的学术会议,不少国家和国际学术组织都制定了限制电力系统谐波和用电设备谐波的标准和规定。1
意义
谐波的危害十分严重——谐波使电能的生产、传输和利用的效率降低,使电气设备过热、产生振动和噪声,并使绝缘老化,使用寿命缩短,甚至发生故障或烧毁。谐波可引起电力系统局部并联谐振或串联谐振,使谐波含量放大,造成电容器等设备烧毁。谐波还会引起继电保护和自动装置误动作,使电能计量出现混乱。对于电力系统外部,谐波对通信设备和电子设备会产生严重干扰。
谐波危害
(1)谐波使公用电网中的元件产生了附加的谐波损耗,降低了发电、输电及用电设备的效率,大量的3次谐波流过中性线时会使线路过热甚至发生火灾。
(2)谐波影响各种电气设备的正常工作。谐波对电机的影响除引起附加损耗外,还会产生机械振动、噪声和过电压,使变压器局部严重过热。谐波使电容器、电缆等设备过热、绝缘老化、寿命缩短,以至损坏。
(3)谐波会引起公用电网中局部的并联谐振和串联谐振,从而使谐波放大,这就使上述(1)和(2)的危害大大增加,甚至引起严重事故。
(4)谐波会导致继电保护和自动装置的误动作,并会使电气测量仪表计量不准确。
(5)谐波会对邻近的通信系统产生干扰,轻者产生噪声,降低通信质量;重者导致住处丢失,使通信系统无法正常工作。
分析方法
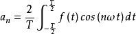
满足一定条件(Dirichlet条件)的、以T为周期的时间的周期函数f(t),在连续点处,可用下述的三角函数的线性组合(傅里叶级数)来表示:
![]()
上式称为f(t)的傅里叶级数,其中,ω=2π/T。
n为整数,n>=0。
