• 1.摘要
  • 2.基本信息
  • 3.定义
  • 4.求极限
  • 5.举例
  • 6.解积分问题
  • 7.参考资料

倒代换

倒代换是一种通过变量代换x=1/t降低问题难度或化简解题过程的数学解题方法。

倒代换法常用在极限问题和积分问题的求解过程中。

基本信息

  • 中文名

    倒代换

  • 外文名

    sub back

  • 类型

    一种数学的解题方法

  • 定义

    变量代换x=1/t

  • 性质

    数学名词

定义

倒代换是通过变量代换image使原来以image为自变量的数学问题变成以image为自变量的数学问题,达到降低问题难度或化简解题过程的一种数学解题方法。

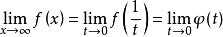
求极限

对于形如image的极限问题,很难使用等价无穷小替代和展开泰勒公式,而等价无穷小替代和展开泰勒公式是求极限问题最有效的基本方法。

在变量代换imageimage,可能给使用等价无穷小替代、展开泰勒公式,或使用洛必达法则带来一定的方便

举例

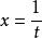
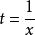
求极限image1

作倒代换image,原式image,使用洛必达法则可得到

如果使用麦克劳林展开式,则计算更为简单

解积分问题

不定积分问题

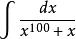
对于不定积分问题来说,当被积函数是分母次数较高的有理函数或根式有理式时,使用倒代换也许可以使被积函数分母次数变得略低。注意,到计算最后必须把image作回代。

求不定积分image

作倒代换image

原式image

定积分问题

对于定积分问题来说,当被积函数是分母次数较高的有理函数或根式有理式时,使用倒代换也许可以使被积函数分母次数变得略低。但是使用倒代换image时必须特别注意到坐标原点不能包含在积分区间之内。