• 1.摘要
  • 2.基本信息
  • 3.计算
  • 4.影响因素
  • 4.1.固体废物性质
  • 4.2.筛分设备性能
  • 4.3.筛分操作条件
  • 5.参考资料

筛分效率

筛分效率是筛子工作质量的一个指标,表示筛分作业进行的程度和筛分产品的质量。筛分效率通常用筛分时所得到的筛下产物的质量与原物料中所含小于筛孔尺寸的粒级的质量之比并用百分数来表示。理想的筛分效率是比筛孔小的颗粒都能透过筛孔,进人筛下,成为筛下物;而大于筛孔的颗粒则都留在筛上,成为筛上物。实际的筛分效率不可能达到理想状态,总有一部分筛下物仍然留在筛上,形成不完全筛分。所以,筛分效率是反映筛分的完全程度,即筛分的质量程度。

基本信息

  • 中文名

    筛分效率

  • 外文名

    screening efficiency

  • 意义

    反映筛分的完全程度

  • 定义

    表示筛分作业程度和筛分产品质量

  • 影响因素

    固体废物性质筛分设备性能

  • 归属学科

    环境工程

计算

从理论上讲,固体废物中凡是粒度小于筛孔尺寸的细粒都应该透过筛孔成为筛下产品,而大于筛孔尺寸的粗粒应全部留在筛上排出成为筛上产品。但是,实际上由于筛分过程中受各种因素的影响,总会有一些小于筛孔的细粒留在筛上随粗粒一起排出成为筛上产品,筛上产品中未透过筛孔的细粒越多,说明筛分效果越差。为了评定筛分设备的分离效率,引入筛分效率这一指标。

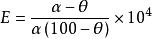
筛分效率是指实际得到的筛下产品质量与入筛废物中所含小于筛孔尺寸的细粒物料质量之比,用百分数表示,即

式中,E为筛分效率 (%);Q为入筛固体废物质量;Q1为筛下产品质量;α为入筛固体废物中小于筛孔的细粒含量 (%)。

但是,在实际筛分过程中要测定Q1和Q是比较困难的,因此,必须变换成便于应用的计算式。按右图测定出筛下产品中小于筛孔尺寸的粗粒,可以列出以下两个方程式。

1、固体废物入筛质量(Q)等于筛上产品质量(Q2)和筛下产品质量(Q1)之和,即:Q=Q1十Q2①

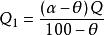
2、固体废物中小于筛孔尺寸的细粒质量等于筛上产品与筛下产品中所含有小于筛孔尺寸的细粒质量之和,即Qα=100Q1十Q2θ ②

式中,θ为筛上产品中有含有小于筛孔尺寸的细粒质量百分数 (%)。

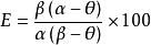
将式①代入式②得image

将Q1值代入式③得image

式④是在筛下产品100%都是小于筛孔尺寸 (β=100%)的前提下推导出来的。实际生产中由于筛网磨损而常有部分大于筛孔尺寸的粗粒进入筛下产品。如果考虑到这种情况,式①的筛下产品项不是100Q1,而是Q1β,按此推导出另一种筛分效率计算公式,即:image,当筛网磨损严重时,采用此式来计算筛分效率。1

影响因素

固体废物性质

固体废物的粒度组成对筛分效率影响较大。废物中易筛粒含量越多,筛分效率越高;而粒度接近筛孔尺寸的难筛粒越多,筛分效率则越低。

固体废物的含水率和含泥量对筛分效率也有一定的影响。废物外表水分会使细粒结团或附着在粗粒上而不易透筛。当筛孔较大、废物含水率较高时,反而造成颗粒活动性的提高,此时水分有促进细粒透筛作用,但此时已属于湿式筛分法,即湿式筛分法的筛分效率较高。水分影响还与含泥量有关,当废物中含泥量高时,稍有水分也能引起细粒结团。

另外,废物颗粒形状对筛分效率也有影响,一般球形、立方形、多边形颗粒相对而言,筛分效率较高;而颗粒呈扁平状或长方块,用方形或圆形筛孔的筛子筛分,其筛分效率越低。

筛分设备性能