• 1.摘要
  • 2.基本信息
  • 3.简介
  • 4.右边近似导数
  • 5.极值定理
  • 6.参考资料

近似导数

近似导数是导数概念的一种推广,其中普通极限用近似极限 (approximate limit)代替。最简单的情形是,f(x)为实值函数,一般地,它是一个向量值函数,近似导数可以为有限或无限。在给定区间上,存在着这样的连续函数,它处处不存在普通导数或近似导数,多元函数的近似偏导数也可以同样考虑。

基本信息

  • 中文名

    近似导数

  • 外文名

    approximate derivative

  • 适用范围

    数理科学

简介

imageimage上定义的函数,image。假如image中有可测集image为 E 的密集点,当 x 沿着 E 趋与image时,极限

存在,则称 l 为 f 在image点近似导数,记为image,并称为 f 在image的导数image存在,则image=image1

右边近似导数

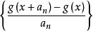
对于函数 g(x) 在 x 处的右侧某一个邻域 [x,x+ε] 内有意义,其中ε为任意小的正数。在辩证数意义下的任意非常小的{an},若数列image收敛于同一个超实数,则我们称:由an这个数列所表达的近似实数为函数 g(x) 在 x 处的右近似导数;并称这个数列的极限为函数 g(x) 在 x 处的右边理想导数 。

同样,左边近似导数与左边理想导数也可类似定义。

极值定理

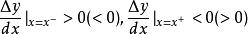
函数 g(x) 在 x 是连续的,且它在 x 点处的左、右近似导数都存在,则 g(x) 在 x 处取得极大(小)值的充要条件是 :image

这个定理我们称为函数的极值定理 。

参考资料

  • 1
    王元,文兰,陈木法数学大辞典科学出版社2010