• 1.摘要
  • 2.梯田截积
  • 3.梯田截积歌谣
  • 4.梯田截积公式
  • 5.用代数式表示
  • 6.参考资料

梯田截积

梯田截积对梯形的地块进行分割截积,这类问题在我国农村称为“梯田截积”

梯田截积

对梯形的地块进行分割截积,这类问题在我国农村称为“梯田截积”

梯田截积歌谣

梯田截积细端详,倍积阔差乘最良,却用原长为法则,归除乘数实之行;若截大头田积步, 大阔自乘减实当;若截小头田积步,小阔自乘并实旁;俱用开方为截阔,两广并来折半强,折半数来为法则, 法除截积便知长。1

梯田截积公式

歌谣用公式记出,则为:

1、从小头截:

截横=(截积×2×(大横-小横)÷原长+小横^2)^(1/2)截高=截积÷[(小横+截横)÷2]2、从大头截

截横=(大横^2-截积×2×(大横-小横)÷中长)^(1/2)截高=截积÷[(大横+截横)÷2]1

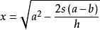
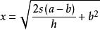
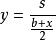
用代数式表示

如果用x表示截横,y表示截高,a表示大横(梯形的下底),b表示小横(梯形的上底),s表示截积,h表示原长(中长,梯形的高)。则

从小头截

image

image

从大头截

image

参考资料

  • 1
    梯田截积歌的解释知识空间(引用日期 2013-04-27)