• 1.摘要
  • 2.基本信息
  • 3.基础定义
  • 4.应用举例
  • 5.类型判定
  • 5.1.电压与电流
  • 5.2.串联和并联
  • 5.3.直流和交流
  • 6.参考资料

负反馈

控制论概念

反馈又称回馈,是控制论的基本概念,指将系统的输出返回到输入端并以某种方式改变输入,进而影响系统功能的过程。反馈可分为负反馈和正反馈。前者使输出起到与输入相反的作用,使系统输出与系统目标的误差减小,系统趋于稳定;后者使输出起到与输入相似的作用,使系统偏差不断增大,使系统振荡,可以放大控制作用。对负反馈的研究是控制论的核心问题。另外有电流负反馈的理论。

基本信息

  • 中文名

    负反馈

  • 又称

    回馈

  • 定义

    将系统的输出返回到输入端

  • 所属

    控制论1

  • 分类

    正反馈负反馈

  • 电流负反馈

    current negative feedback

基础定义

将一个系统的输出信号的一部分或全部以一定方式和路径送回到系统的输入端作为输入信号的一部分,这个作用过程叫——反馈。按反馈的信号极性分类,反馈可分为正反馈和负反馈。

若反馈信号与输入信号极性相同或变化方向同相,则两种信号混合的结果将使放大器的净输入信号大于输出信号,这种反馈叫正反馈。正反馈主要用于信号产生电路。反之,反馈信号与输入信号极性相反或变化方向相反(反相),则叠加的结果将使净输入信号减弱,这种反馈叫负反馈放大电路和自动控制系统通常采用负反馈技术以稳定系统的工作状态。

负反馈的取样一般采用电流取样或电压取样。因为负反馈有其独特的优点,在实际放大器中得到了广泛的应用,它改变了放大器的性能。采用负反馈使得放大器的闭环增益趋于稳定,消除了开环增益的影响。电子线路中阻抗匹配是一重要问题,负反馈还影响着放大器输入和输出阻抗,电压混合使输入阻抗增高,电流混合使输入阻抗降低; 电流取样使输出阻抗增高,电压取样使输出阻抗降低。利用负反馈还可大大减少放大器在稳定状态下所产生的失真,并可减弱放大器内部各种干扰电平。利用负反馈还可展宽放大器的频带,使得放大器的幅频特性变得比较平坦。因此,负反馈可大大提高放大器的放大质量,改善许多性能指标,而且反馈越深,改善的程度也愈大,但过深的负反馈又可能引起放大器不能正常工作而导致自激,因而一个稳定的负反馈放大器通常不超过三级。2

解释:

1. 振荡器的一部分输出在使振幅减小的方式下向输入的返回。

2. 指受控部分发出反馈信息,抑制或减弱了控制部分的活动。

3.负反馈是指反馈信息与控制信息的作用性质相反的反馈

4..若反馈的作用是减弱反射中枢对效应器的影响,称为负反馈,反馈信息为负。在一个闭环系统中,控制部分活动受受控部分反馈信号(S5)的影响而变化,若S5为负,则为负反馈。其作用是输出变量受到扰动时系统能及时反应,调整偏差信息(Sc),以使输出稳定在参考点(Si)。

应用举例

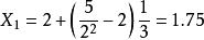
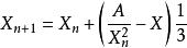
开方的反馈方法或者叫做自动调节开方。公式:

负反馈

例如,A=5,k=3.

image公式:

5介于1^3至2^3之间(1的3次方=1,2的3次方=8)

image可以取1.1,1.2,1.3,1.4,1.5,1.6,1.7,1.8,1.9,2.0都可以。例如我们取2.0.按照公式:

第一步:

image

比原来多取一位数,取1.7。数值有大变小,负反馈;