直线公理的内容是:(1)经过两点只有一条直线。或者,两点确定一条直线;(2)两条直线相交,只有一个交点1。
基本内容
直线的基本性质(公理): (1)经过两点有一条直线,并且只有一条直线。(2)两条直线相交,只有一个交点。因为直线是不定义的名词,对直线概念的理解往往靠上述的基本性质。
应用举例
【例1】已知点
,求
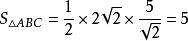
的面积。

图1
解:如图1,设
边上的高为
,则
边上的高为
就是点
到
的距离。
边所在直线的方程为
即
。
点
到
的距离
因此,
。
实际上,在以上解法中求直线
的方程可以不用两点式,可以运用直线公理“两点确定一条直线”通过观察简洁求解:
由点
及
,得点
均在直线
上,由“两点确定一条直线”知,直线AB就是直线
,即直线AB的方程是
2。