• 1.摘要
  • 2.基本信息
  • 3.定义
  • 4.关系
  • 5.参考资料

电极化强度

电极化强度是指电介质极化程度和极化方向的物理量,电极化强度P定义为单位体积内分子电偶极矩p的矢量和。

基本信息

  • 中文名

    电极化强度

  • 外文名

    electric polarization

  • 领域

    电磁学

  • 单位

    C/m^2

  • 介质

    电介质

  • 产生

定义

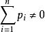
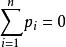
在电介质中任取一宏观体积image,在没有外电场时,电介质未被极化,此小体积中所有分子的电偶极矩image的矢量和为0,即image。当外电场存在时,电介质将被极化,此小体积中分子电偶极矩image的矢量和将不为0,即image。外电场越强,分子电偶极矩的矢量和就越大。因此,我们用单位体积中分子电偶极矩的矢量和来表示电介质的极化程度,有

式中image叫做电极化强度,单位是image1

关系

由于电介质的极化电荷是电介质极化的结果,所以极化电荷与电极化强度之间必然存在某种定量关系。我们可以利用一个特例来推出这个关系。如图所示,在一对面积为S、相距为d的均匀带电平面(设两平面的自由电荷面密度分别是imageimage,S的线度远大于d)之间充入各向同性的均匀电介质。由于电极化的作用,在靠近带电平面的介质平面上会出现与自由电荷异号的均匀面分布的极化电荷,其面密度是imageimage,而在介质内部没有剩余的极化电荷。所以整个介质的电偶极矩矢量和是image,而电极化强度是

image(1)

这表明,在均匀各向同性的电介质中,电极化强度的大小等于电极化产生的极化电荷面密度.

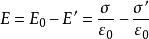
同样,我们利用上面的特例来分析极化电荷和束缚电荷、电极化强度与电场强度的关系.如图所示,利用式(1)得到自由电荷产生的电场强度大小为

image方向向下.若电介质表面的极化电荷面密度是,则极化电荷所激发电场的电场强度的大小是

方向向上.所以介质中的电场强度是image

利用式image,代入上式有

于是得到自由电荷密度与极化电荷密度的关系是

利用关系式image,得到自由电荷与极化电荷的关系是