• 1.摘要
  • 2.基本信息
  • 3.概念
  • 3.1.电路方面
  • 3.2.自动化领域
  • 4.品质因数Q
  • 5.二阶欠系统
  • 5.1.定义
  • 5.2.阶跃响应

欠阻尼

在自动化领域,所谓欠阻尼,说明阻尼不够大,因此这个阻尼并不足以阻止振动越过平衡位置,此时系统将做振幅逐渐减小的周期性阻尼振动。系统的运动被不断阻碍,所以振幅减衰,并且振动周期也是越来越长,经过较长时间后,振动停止。

基本信息

  • 中文名

    欠阻尼

  • 外文名

    underdamping

  • 领域

    电路自动化

  • 相关概念

    无阻尼过阻尼临界阻尼

  • 现象

    做振幅逐渐减小的周期性阻尼振动

  • 重要物理量

    品质因数Q

概念

电路方面

电路微分方程的特征根,称为电路的固有频率。当R(电阻)、L(电感)、C(电容)的量值不同时,特征根可能出现以下三种情况,对应于三种不同的阻尼情况。

(1) R>2(L/C)^0.5时,S1、S2为不相等的实数根,为非振荡放电过程,为过阻尼情况。

(2) R=2(L/C)^0.5时,S1、S2为两个相等的实数根,此时为临界阻尼情况。

(3) R<2(L/C)^0.5时,S1、S2为共轭复数根,为振荡放电过程,为欠阻尼情况。

自动化领域

任何一个振动系统,当阻尼增加到一定程度时,物体的运动是非周期性的,物体振动连一次都不能完成,只是慢慢地回到平衡位置就停止了。一个系统受初扰动后不再受外界激励,因受到阻力造成能量损失而位移峰值渐减的振动称为阻尼振动。系统的状态由阻尼率ζ来划分。不同系统中ζ的计算式不同,但意义一样。

(1) 当ζ=0时,系统无阻尼,即周期运动。

(2)当0<ζ<1时,系统所受的阻尼力较小,则要振动很多次,而振幅则在逐渐减小,最后才能达到平衡位置,这样的运动叫欠阻尼状态。

(3) 当ζ=1时,阻尼的大小刚好使系统作非“周期”运动,即阻力使振动物体刚能不作周期性振动而又能最快地回到平衡位置的情况,称为“临界阻尼”,或中肯阻尼状态。

(4)当ζ>1时,阻尼再增大,系统需要很长时间才能达到平衡位置,这样的运动叫过阻尼状态。

与欠阻尼况和过阻尼相比,在临界阻尼情况下,系统从运动趋近平衡所需的时间最短。

品质因数Q

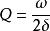
品质因数Q是标志欠阻尼振动系统的重要物理量之一,特别是在电磁振动(振荡)中它的意义更为突出。品质因数是为了描述振动系统在振动中能量耗散的情况而引人的。品质因数Q=储能/耗能,定义为:

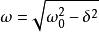
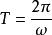
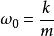
当阻尼很小时,image,又因为image,所以,image。其中,image是阻尼因数,m是振子质量,image是振动的圆频率,image=k/m是振子固有圆频率,k是弹性系数。

当经历的时间间隔△t恰为一个周期T时,因T很小,则系统在t至t+T的一个周期内所耗散的能量可以写成image(式1)。

根据定义image,由于image,则image。若引入弛豫时间imageimage,由式(2)可以看出,image的物理意义是系统储存的能量E耗散至E/e时所需要的时间。于是Q的表示式又可写为image(式2)。