• 1.摘要
  • 2.基本信息
  • 3.基础定义
  • 3.1.语言描述
  • 3.2.数学概念
  • 4.应用举例
  • 4.1.权重已知
  • 4.2.权重未知
  • 4.3.在期货中的应用
  • 4.4.在市政预算中的应用
  • 5.概念意义
  • 6.参考资料

加权平均数

数学术语

加权平均值即将各数值乘以相应的权数,然后加总求和得到总体值,再除以总的单位数1。加权平均值的大小不仅取决于总体中各单位的数值(变量值)的大小,而且取决于各数值出现的次数(频数),由于各数值出现的次数对其在平均数中的影响起着权衡轻重的作用,因此叫做权数。

因为加权平均值是根据权数的不同进行的平均数的计算,所以又叫加权平均数。在日常生活中,人们常常把“权数”理解为事物所占的“权重”,所以在本词条中,我们不对这两个词加以区别。

基本信息

  • 中文名

    加权平均数

  • 外文名

    weight mean

  • 用途

    财务核算和统计工作

  • 别名

    加权平均值

  • 分类

    数学2

  • 关键

    权数权重

基础定义

语言描述

加权平均值即将各数值乘以相应的权数,然后加总求和得到总体值,再除以总的单位数。

加权平均值的大小不仅取决于总体中各单位的数值(变量值)的大小,而且取决于各数值出现的次数(频数),由于各数值出现的次数对其在平均数中的影响起着权衡轻重的作用,因此叫做权数。

因为加权平均值是根据权数的不同进行的平均数的计算,所以又叫加权平均数。

数学概念

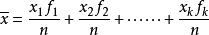
(1)如概述图所示,若n个数image的权分别是image,那么image叫做这n个数的加权平均值。

(2)其他方式

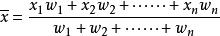
此外,加权平均值也可用下图表示,其中image表示权数。

理解方法:将原式看作image即可。

加权平均数

应用举例

权重已知

假设以下是小明某科的考试成绩:

平时测验

期中考试

期末考试

80

90

95

学校规定的学科综合成绩的计算方式是:

平时测验占比

期中考试占比

期末考试占比

20%

30%

50%

(注:在这里,每个成绩所占的比重叫做权重)

那么,加权平均值(综合成绩)image