• 1.摘要
  • 2.基本信息
  • 3.贡献
  • 4.简介

沈吕九

沈吕九(Lu Jeu Sham,1938年4月28日-),出生于中国香港,祖籍福建省福州市,毕业于英国剑桥大学,加州大学圣迭哥分校物理系系主任,美国科学院院士。

他的成就是与导师科恩和同事霍亨博格一起创立了科恩-沈吕九方程,为密度泛函理论作出了巨大贡献。

基本信息

  • 中文名

    沈吕九

  • 外文名

    Lu Jeu Sham

  • 出生日期

    1938年4月28日

  • 出生地

    香港

贡献

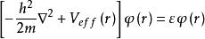
Sham的贡献是巨大的,他的贡献在于与导师科恩(W. Kohn),同事霍亨博格Hohenberg一起创立了科恩-沈吕九方程。科恩-沈吕九方程:image

简介

这个方程非常简单,几乎是一些经典概念如密度、平均场和有效势在起决定性作用,但实际上内涵深刻。它是完全精确的量子理论,它的计算量为哈特里-福克水平,但却已纳入电子的交换和相关效应,计算精度优于哈特里-福克方法。后者是求解薛定谔方程的经典方法,以计算一个分子的基态性质为例,科学家首先要将薛定谔方程作玻恩-奥本海默近似、单电子近似、HF平均场近似和原子轨道线性叠加等处理,化成可以实现具体运算的哈特里-福克-罗汤(C. C. J. Roothaan)方程(HFR),其实没有完,真正想解决这个方程,需要电子相互作用的库仑作用矩阵元和交换作用矩阵元。这类涉及两个电子的二重积分(双电子积分)的数量正比于体系中电子总数的4次方。计算一个100个电子的小分子竟然需要先算1亿个双电子积分。30多年前的这项工作奠定了密度泛函理论( Density Fuctional Theory, DFT) 这座大厦的基础。

此后经过沈吕九、帕尔等人廿余年的努力,DFT终于形成与分子轨道理论并齐的严格的量子理论构架。它是用电子密度形式而不是波函数形式建成的另一种形式的量子理论。DFT理论还把托马斯-费米理论和Xa方法都统一在它的框架内。

目前基于/使用DFT进行计算的软件非常多,国内比较常见的有ABINIT(开源,免费),CASTEP(商业软件,仅对英国学院用户开源免费),DMol3(商业软件),Gaussian(商业软件),Quantum ESPRESSO(开源,免费),SIESTA(学院用户开源,免费),VASP(商业软件)及WIEN2k(商业软件)。