• 1.摘要
  • 2.基本信息
  • 3.定义
  • 4.发展史
  • 5.主要形式
  • 5.1.平方律
  • 5.2.线性律
  • 6.扩充与推广
  • 7.应用
  • 7.1.不同信息条件下的空战效能分析
  • 7.2.战斗机超视距空战隐身效能分析
  • 7.3.大区域防空作战效能评估模型
  • 8.参考资料

兰彻斯特方程

兰彻斯特方程是描述交战过程中双方兵力变化关系的微分方程组。 因系F.W.兰彻斯特所创,故有其名。1914年,英国工程师兰彻斯特在英国《工程》杂志上发表的一系列论文中,首次从古代使用冷兵器进行战斗和近代运用枪炮进行战斗的不同特点出发,在一些简化假设的前提下,建立了相应的微分方程组,深刻地揭示了交战过程中双方战斗单位数(亦称兵力)变化的数量关系。

第二次世界大战后,各国军事运筹学工作者根据实际作战的情况,从不同角度对兰彻斯特方程进行了研究与扩展,使兰彻斯特型方程成为军事运筹学的重要基本理论之一。有些学者也将兰彻斯特型方程称为兰彻斯特战斗理论或战斗动态理论。兰彻斯特型方程与计算机作战模拟结合以后所构成的各种形式、各种规模的作战模型,在军事决策的各有关领域中得到了广泛的应用。

基本信息

  • 中文名

    兰彻斯特方程

  • 外文名

    Lanchester's equation

  • 表达式

    α[M^2- m(t)^2]=β[N^2- n(t)^2]

  • 提出者

    英国工程师F.W.兰彻斯特

  • 提出时间

    1915年

  • 应用学科

    数学

  • 适用领域范围

    军事运筹学

  • 范畴

    微分方程组

定义

兰彻斯特方程是描述交战过程中双方兵力变化关系的微分方程组。

发展史

因系F.W.兰彻斯特所创,故有其名。1914年,英国工程师兰彻斯特在英国《工程》杂志上发表的一系列论文中,首次从古代使用冷兵器进行战斗和近代运用枪炮进行战斗的不同特点出发,在一些简化假设的前提下,建立了相应的微分方程组,深刻地揭示了交战过程中双方战斗单位数(亦称兵力)变化的数量关系。

第二次世界大战后,各国军事运筹学工作者根据实际作战的情况,从不同角度对兰彻斯特方程进行了研究与扩展,使兰彻斯特型方程成为军事运筹学的重要基本理论之一。有些学者也将兰彻斯特型方程称为兰彻斯特战斗理论或战斗动态理论。兰彻斯特型方程与计算机作战模拟结合以后所构成的各种形式、各种规模的作战模型,在军事决策的各有关领域中得到了广泛的应用。1

主要形式

平方律

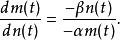
设在近代战斗条件下,红、蓝两军交战,双方各自装备同类武器,相互通视,并在武器射程范围内进行直接瞄准射击;双方每一战斗单位射击对方每一战斗单位的机会大致相同。将双方在战斗中尚存的战斗单位数作为连续的状态变量,以m(t)、n(t)表示在战斗开始后t时刻蓝方、红方在战斗中尚存的作战单位数,可用下列微分方程组来描述战斗过程中双方兵力随时间的损耗关系:2image

式中α、β分别为蓝方、红方在单位时间内每一战斗单位毁伤对方战斗单位的数目, 简称为蓝方、 红方的毁伤率系数。在双方使用步兵武器进行直瞄射击的情况下,毁伤率系数等于武器的射速乘以单发射弹命中目标的概率与命中目标的条件下毁伤目标概率的乘积。假设交战开始时刻蓝方、红方的初始战斗单位数为m(0)=M,n(0)=N,从上述微分方程组可知,在交战过程中双方战斗单位数符合下列状态方程:

当交战双方的初始战斗单位数与毁伤率系数之间满足image时,m(t)与n(t)同时趋于零,战斗不分胜负。当image时,蓝方将首先被消灭。兰彻斯特将上述关系概括为“在直接瞄准射击条件下,交战一方的有效战斗力,正比于其战斗单位数的平方与每一战斗单位平均战斗力(平均毁伤率系数)的乘积”,并称之为“平方律”。

按照这一定律,如果蓝方武器系统的单个战斗单位的平均效率为红方的4倍,则红方在数量上必须集中2倍于蓝方的兵力才可抵消蓝方武器在质量上的优势。

兰彻斯特采用下述例子说明平方律符合集中优势兵力的作战原则:“如果蓝方1000人与红 方1000人交战,双方单个战斗单位的平均战斗力相同,红方被蓝方分割成各500人的两半。假定蓝方以1000人先攻击红方的500人,则蓝方将以损失134人的代价全歼红方的一半,接着蓝方以剩下的866人再全歼红方的另一半,蓝方在这两次战斗中总共损失293人。”

直接求解上述微分方程组可以得到蓝、红双方兵力随时间变化的关系:

式中:t 表示战斗时刻;m(t),n(t)表示战斗开始后在 t 时刻蓝方、红方在战斗中剩存的战斗单位数量;α,β 分别表示蓝方、红方在单位时间内每一战斗单位杀伤对方战斗单位的比例,即战斗力系数。

从这个方程中可以推导出:

即如双方单个战斗单位的平均战斗力相等,即α=β ,上式就简化成为image。当红军被全歼时,也就是 n(t)=0时,就有image