• 1.摘要
  • 2.基本信息
  • 3.基本内容
  • 4.参考资料

斯奈尔定律

同光线在非均匀介质中传播,当弹性波遇到具有弹性性质突变的弹性分界面时,弹性波也要在此分界面上发生弹性波的反射和透射1

基本信息

  • 中文名

    斯奈尔定律

  • 外文名

    Snell's Refraction Law

  • 别称

    斯涅尔定律

  • 表达式

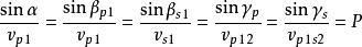
    sinα/v1=sinα'/v1=sinβ/v2=P

  • 提出者

    威里布里德·斯奈耳

  • 应用学科

    光学

  • 适用领域范围

    测量介质中光速地震射线传播等

基本内容

斯奈尔Snell定律(又称“折射定律”)

如果定义α为入射角,α’为反射角,β为透射角,sinα/v1=sinα'/v1=sinβ/v2=P式则说明入射角等于反射角,透射角的大小决定于介质W1,W2的速度v1,v2之比;而且在一个界面上对入射波、反射波和投射波来说具有相同的射线参数P2。(对于给定的射线,射线参数是一常数,在射线传播过程中保持不变。)image

参考资料

  • 1
    李世峰资源与工程地球物理勘探化学工业出版社2008年
  • 2
    snell电子发烧友(引用日期 2012-12-24)