韦达定理是说明一元二次方程中根和系数之间关系的定理,由弗朗索瓦·韦达提出1。
韦达定理在求根的对称函数,讨论二次方程根的符号、解对称方程组以及解有关二次曲线的问题都凸显出独特的作用。该定理最重要的贡献是对代数学的推进,最早系统地引入代数符号,推进了方程论的发展。
定理关系
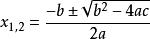
设一元二次方程
中,两根x₁、x₂有如下关系:
2
数学推导

韦达定理应用实例
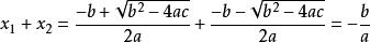
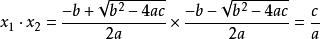
由一元二次方程求根公式知:
则有:

2
定理推广
逆定理
如果两数α和β满足如下关系:α+β=
,α·β=
,那么这两个数α和β是方程
的根。
通过韦达定理的逆定理,可以利用两数的和积关系构造一元二次方程3。
推广定理
韦达定理不仅可以说明一元二次方程根与系数的关系,还可以推广说明一元n次方程根与系数的关系。
定理:
(i=1、2、3、……n)是方程:
的n个根,记
(k为整数),则有: