• 1.摘要
  • 2.基本信息
  • 3.基本内容

四倍角公式

四倍角公式是三角函数的倍角公式中的一种。

基本信息

  • 中文名

    四倍角公式

  • 外文名

    Four times the Angle formula

  • 实质

    两角和与差的三角函数

  • 范围

    数学 三角函数

基本内容

四倍角公式

sin4A=-4*(cosA*sinA*(2*sinA^2-1))

cos4A=1+(-8*cosA^2+8*cosA^4)

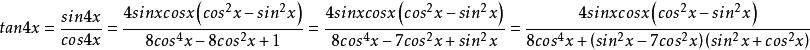
tan4A=(4*tanA-4*tanA^3)/(1-6*tanA^2+tanA^4)

推导过程:棣莫佛公式:

n=4代入得image,左边用二项式定理展开可得

根据复数相等的充要条件

image

image

分子分母同除以(cosx)^4并化简得